Self Studies

Mathematics Test - 2

Result Self Studies

Mathematics Test - 2
  • Score

    -

    out of -
  • Rank

    -

    out of -
TIME Taken - -
Self Studies

SHARING IS CARING

If our Website helped you a little, then kindly spread our voice using Social Networks. Spread our word to your readers, friends, teachers, students & all those close ones who deserve to know what you know now.

Self Studies Self Studies
Weekly Quiz Competition
  • Question 1
    1 / -0

    Monica's average expenses for 4 days is Rs 6.0. She spent Rs 7.70 on first day, Rs 6.30 on second day. If she spent 10 on third day , How much did she spend on the 4th day?

    Solution

    Required Amount = 24 - ( 7.70 + 6.30 + 10)

    =  24 - 24 = 0

  • Question 2
    1 / -0

    In a single throw of two dice, find the probability of the first dice always occur odd number and sum of two dice is greater than 5.

    Solution

    We know that in a single throw of two dice, the total number of possible outcomes is (6 × 6) = 36

    Let S be the sample space. Then, n(S) = 36

    Let E = first dice always occur odd number and sum of two dice is greater than 5. Then, 

    E = {(1,5 ), (1, 6), (3, 3), (3, 4), (3, 5), (3, 6), (5,1), (5, 2), (5, 3), (5, 4), (5, 5), (5, 6)} 

    ∴ n(E) =  12

    So, the probability that first dice always occur odd number and sum of two dice is greater than 5 

  • Question 3
    1 / -0

    Solution

    If a matrix has m rows and n columns then its order is m × n. Clearly, in the given matrix, the number of rows and columns are each 2. So, its order is 2 × 2.

  • Question 4
    1 / -0

    The ratio of the two numbers is 5 : 7 and their LCM is 105. If X is the ratio of the sum of the numbers and the difference of the numbers. What is the value of X?

    Solution

  • Question 5
    1 / -0

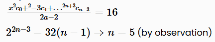
    For a positive integer n, if the mean of the binomial coefficient in the expansion of 

    (a + b)2n – 3 is 16, then n is equal to-

    Solution

  • Question 6
    1 / -0

    If the system of linear equations :

    x+ 3y +7z = 0

    -x + 4y +7z = 0

    (sin3θ)x+ (cos2 θ)y +2z = 0 has a non-trivial solution, then the number of values of θ lying in the interval [0, π], is-

    Solution

  • Question 7
    1 / -0

    The number of integral values of m for which the equation, (1 + m2) x2 – 2(1 + 3m) x + (1 + 8m) = 0, has no real root, is:

    Solution

  • Question 8
    1 / -0

    A man spends Rs 1,800 per month on an average for the first four mouths and Rs 2,000 per month for the nest 8 months and saves Rs 5,600 a year. What is his average monthly income ?

    Solution

    Total expenditure during first four months = 1,800 x 4 = Rs 7,200

    Total expenditure during the next 8 months = 2,000 x 8 = Rs 16,000 Saving = Rs 5,600

    Total of expenditure and saving (equal to income the year) = 7,200 + 16,000 + 5,600 = Rs 28,800 

    Average monthly income = 28,000/12 = Rs 2,400

  • Question 9
    1 / -0

    Six bells commencing tolling together toll at intervals of 2, 4, 6, 8,10 and 12 seconds respectively.In 30 minutes how many times do they toll together?

    Solution

    1. L.C.M of 2, 4, 6, 8, 10 and 12 is 120.

    so, the bells will toll together after 120 seconds i.e. 2 minutes .

    In 30 minutes the bells toll together 30/2 + 1 = 16 times.

  • Question 10
    1 / -0

    The average of 5 numbers is 9 and the average of the last three numbers is 5.Find the average of the first two numbers.

    Solution

    Sum of 5 numbers = 9 x 5 = 45

    Sum of last three numbers = 15

    The average of 1st two numbers = 45-15/2 = 30/2 = 15.

Self Studies
User
Question Analysis
  • Correct -

  • Wrong -

  • Skipped -

My Perfomance
  • Score

    -

    out of -
  • Rank

    -

    out of -
Re-Attempt Weekly Quiz Competition
Self Studies Get latest Exam Updates
& Study Material Alerts!
No, Thanks
Self Studies
Click on Allow to receive notifications
Allow Notification
Self Studies
Self Studies Self Studies
To enable notifications follow this 2 steps:
  • First Click on Secure Icon Self Studies
  • Second click on the toggle icon
Allow Notification
Get latest Exam Updates & FREE Study Material Alerts!
Self Studies ×
Open Now