Self Studies

Chemistry Test 211

Result Self Studies

Chemistry Test 211
  • Score

    -

    out of -
  • Rank

    -

    out of -
TIME Taken - -
Self Studies

SHARING IS CARING

If our Website helped you a little, then kindly spread our voice using Social Networks. Spread our word to your readers, friends, teachers, students & all those close ones who deserve to know what you know now.

Self Studies Self Studies
Weekly Quiz Competition
  • Question 1
    4 / -1

    Gadolinium has a low value of third ionisation enthalpy because of

    Solution

    Electronic configuration of Gadolinium

    Gd :- [Xe] 4f75d16s2

    In case of 3rd ionisation enthalpy electron will be removed from 5d and resultant configuration will be [Xe]4f f that is stable electronic configuration as it will have high exchange energy, hence less energy will be required to remove 3rd electron.

     

  • Question 2
    4 / -1

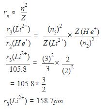
    If radius of second Bohr orbit of the He+ion is 105.8pm, what is the radius of third Bohr orbit of Li2+ ion?

    Solution

     

  • Question 3
    4 / -1

    Given below are two statements:

    Statement I: Cr2+ is oxidising and Mn3+ is reducing in nature.

    Statement II: Sc3+ compounds are repelled by the applied magnetic field.

    In the light of the above statements, choose the most appropriate answer from the options given below:

    Solution

    Cr+2: [Ar]3d4

    Cr+2 is reducing as its configuration changes from d4 to d3(t2g3)

    Mn+3 is oxidising in nature.

    Mn+2: [Ar] 3d5 (extra stability)

    Statement I is incorrect

    Sc+3: [Ar]

    diamagnetic - repelled by magnetic field.

    Statement (II) is correct.

     

  • Question 4
    4 / -1

    Which of the following reactions is the metal displacement reaction? Choose the right option

    Solution

    Both reactions (1) and (4) are examples of decomposition reactions.

    Reactions (2) and (3), both are examples of displacement reactions, while reaction (2) is an example of metal displacement reaction.

     

  • Question 5
    4 / -1

    Identify the incorrect statement.

    Solution

    Oxidation state of Cr in CrO42− and Cr2O72− is +6 i.e. oxidation states are same.

     

  • Question 6
    4 / -1

    Which one of the following ions exhibits d−d transition and paramagnetism as well?

    Solution

    In MnO42−, one unpaired electron (n) is present in d -orbital so, d−d transition is possible.

     

  • Question 7
    4 / -1

    Name the gas that can readily decolourise acidified KMnO4 solution.

    Solution

    SO2 readily decolourises pink violet colour of acidified KMnO4 solution.

     

  • Question 8
    4 / -1

    The reason for greater range of oxidation states in actinoids is attributed to

    Solution

    Actinoids have a greater range of oxidation states due to comparable energies of 5f,6d and 7s orbitals. Hence, all their electrons can take part in bond formation.

     

  • Question 9
    4 / -1

    Which one of the following statements is correct when SO2 is passed through acidified K2Cr2O7 solution?

    Solution

     

  • Question 10
    4 / -1

    The catalytic activity of transition metals and their compounds is ascribed mainly to

    Solution

    The catalytic activity of transition metals and their compounds is ascribed mainly to their ability to adopt variable oxidation states.

     

Self Studies
User
Question Analysis
  • Correct -

  • Wrong -

  • Skipped -

My Perfomance
  • Score

    -

    out of -
  • Rank

    -

    out of -
Re-Attempt Weekly Quiz Competition
Self Studies Get latest Exam Updates
& Study Material Alerts!
No, Thanks
Self Studies
Click on Allow to receive notifications
Allow Notification
Self Studies
Self Studies Self Studies
To enable notifications follow this 2 steps:
  • First Click on Secure Icon Self Studies
  • Second click on the toggle icon
Allow Notification
Get latest Exam Updates & FREE Study Material Alerts!
Self Studies ×
Open Now