Self Studies

Chemistry Test 216

Result Self Studies

Chemistry Test 216
  • Score

    -

    out of -
  • Rank

    -

    out of -
TIME Taken - -
Self Studies
Weekly Quiz Competition
  • Question 1
    4 / -1

    The inert pair effect is most prominent in

    Solution

    The inert pair effect is most prominent in the heavier members of the group. Inert pair effect increases as we move the group down the group.

     

  • Question 2
    4 / -1

    Ligands in a complex salt are

    Solution

    Option D is correct.

    • Ligand is an ion or molecule that donates one or more lone pairs of electrons to a central metal atom or ion to form a coordinate bond.

    • Common examples include neutral ligands such as NH3H2O and CO, and anionic ligands such as Cl- and CN-.

    • Options A and C are incomplete because they restrict ligands to only anions or only molecules respectively. Option B is incorrect because ligands are generally neutral molecules or anions; cations are not the general class of ligands.

    • Therefore, Option D correctly describes ligands as either ions or molecules bonded by coordinate bonds to a central atom or ion.

     

  • Question 3
    4 / -1

    Unlike the other elements of its group carbon and silicon does not form MX2 type molecules because

    Solution

    The stability of dihalides (MX,) increases down the group. Except C and Si, the other members form dihalides.

     

  • Question 4
    4 / -1

    Glycinato ligand is:

    Solution

    These are facts about glycinato ligand.

     

  • Question 5
    4 / -1

    The element w hich is exclusivelyapplied as semi-conductor

    Solution

    Both Ge and Si are extensively used as semiconductors.

    Semiconductors are solids where there is only a small difference in energy, called band gap, between the filled valency band of electrons and a conduction hand since the band gap of Ge is less than Si, it is a better element to be used as semiconductor.

     

  • Question 6
    4 / -1

    Ammonia gas can be collected by the downward displacement of which of the following?

    Solution

    Ammonia gas can be collected by downward displacement of mercury (Hg). Ammonia gas is lighter than mercury and, hence, collected by the downward displacement of mercury.

    Ammonia is not collected over water or brine (aqueous solution of sodium chloride) because it is highly soluble in water.

    Also, being basic in nature, it will react with sulphuric acid. Thus, it can not be collected over sulphuric acid too.

     

  • Question 7
    4 / -1

    What is the substance bones contain which makes them glow in the dark?

    Solution

    Bones contain white phosphorous. It undergoes slow combustion in contact with air due to its low ignition temperature. This property of glowing in the dark and on the application of ultraviolet rays is called phosphorescence.

     

  • Question 8
    4 / -1

    Which of the following ligands is expected to be bidentate?

    Solution

    When a ligand has two groups that are capable of bonding to the central atom, it is said to be bidentate. Thus, the only ligand, which is expected to be bidentate is C2O42− as

     

  • Question 9
    4 / -1

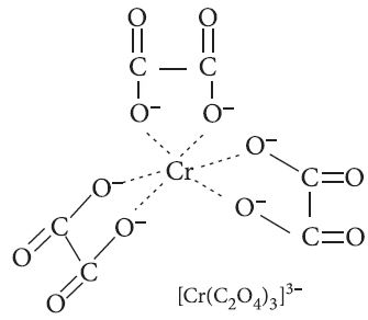
    The coordination number and oxidation state of Cr in K3Cr(C2O4)3 are respectively

    Solution

    As the number of atoms of the ligands that are directly bound to the central metal is known as coordination number. It is six here (see in figure).

    Oxidation state :

    Let oxidation state of Cr be x.

    ⇒ 3(+1) + x + 3(−2) = 0

    ⇒ 3 + x − 6=0

    ⇒ x = +3

     

  • Question 10
    4 / -1

    The number of geometrical isomers of the complex [Co(NO2)3(NH3)3] is

    Solution

     

Self Studies
User
Question Analysis
  • Correct -

  • Wrong -

  • Skipped -

My Perfomance
  • Score

    -

    out of -
  • Rank

    -

    out of -
Re-Attempt Weekly Quiz Competition
Self Studies Get latest Exam Updates
& Study Material Alerts!
No, Thanks
Self Studies
Click on Allow to receive notifications
Allow Notification
Self Studies
Self Studies Self Studies
To enable notifications follow this 2 steps:
  • First Click on Secure Icon Self Studies
  • Second click on the toggle icon
Allow Notification
Get latest Exam Updates & FREE Study Material Alerts!
Self Studies ×
Open Now