Self Studies

Physics Test 190

Result Self Studies

Physics Test 190
  • Score

    -

    out of -
  • Rank

    -

    out of -
TIME Taken - -
Self Studies

SHARING IS CARING

If our Website helped you a little, then kindly spread our voice using Social Networks. Spread our word to your readers, friends, teachers, students & all those close ones who deserve to know what you know now.

Self Studies Self Studies
Weekly Quiz Competition
  • Question 1
    4 / -1

    From the adjacent figure, the correct observation is:

    Solution

    Pressure = hρg i.e. pressure at the bottom is independent of the area of the bottom of the tank. It depends on the height upto which the tank is filled with water. As in both the tanks, the levels of water are the same, pressure at the bottom is also the same.

     

  • Question 2
    4 / -1

    A diver is 10 m below the surface of water. The approximate pressure experienced by the diver is-

    Solution

    P = P0 + ρgh

    Step 1: Put the values in above formula and find P.

    = 10+ 10× 10 × 10

    = 2 × 105Pa

     

  • Question 3
    4 / -1

    The area of cross-section of the wider tube shown in the figure is 800 cm2. If a mass of 12 kg is placed on the massless piston, then the difference in heights h of the levels of water in the two tubes will be:

    Solution

     

  • Question 4
    4 / -1

    The height of a mercury barometer is 75 cm at sea level and 50 cm at the top of a hill. The ratio of density of mercury to that of air is 104. The height of the hill is:

    Solution

     

  • Question 5
    4 / -1

    A vertical U-tube of uniform inner cross section, contains mercury in both its arms. A glycerin (density = 1.3 g/ cm3) column of length 10 cm is introduced into one of its arms. Oil of density 0.8 gm/ cm3 is poured into the other arm until the upper surfaces of the oil and glycerin are at the same horizontal level. Find the length of the oil column. [Density of mercury = 13.6 g/cm3]

    Solution

    At the condition of equilibrium

    Pressure at point A = Pressure at point B

    P= PB ⇒ 10 × 1.3 × g = h × 0.8 × g + (10 - h) × 13.6 × g

    By solving we get h = 9.7 cm

     

  • Question 6
    4 / -1

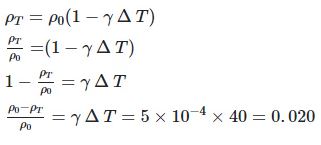
    The value of the coefficient of volume expansion of glycerin is 5 x 10-4 K-1. The fractional change in the density of glycerin for a temperature increase of 40°C will be:

    Solution

     

  • Question 7
    4 / -1

    When a uniform rod is heated, which of its following properties will increase as a result of it?

    Solution

    Step 1:

    As the rod is heated its length increases.

    Step 2: As the moment of inertia of the rod depends on its length so, it will changes.

     

  • Question 8
    4 / -1

    If two rods of length L and 2L having coefficients of linear expansion α and 2α respectively are connected so that their total length becomes 3L, the average coefficient of linear expansion of the composition of rods equals:

    Solution

     

  • Question 9
    4 / -1

    Two rods, one made of aluminium and the other made of steel, having initial lengths l1 and l2 are connected together to form a single rod of length l1 + l2. The coefficient of linear expansion for aluminium and steel are αa and αs respectively. If the length of each rod increases by the same amount when their temperature is raised by t°C, then the ratio 

    Solution

    Step 1: Find the change in the lengths of the two rods.

     

  • Question 10
    4 / -1

    A large steel wheel is to be fitted onto a shaft of the same material. At 27 °C, the outer diameter of the shaft is 8.70 cm and the wheel's central hole has a diameter of 8.69 cm. The shaft is cooled using ‘dry ice’. At what temperature of the shaft does the wheel slip on the shaft? (Assume the coefficient of linear expansion of the steel to be constant over the required temperature range and α steel = 1.20 × 10−5K−1)

    Solution

    The given temperature, T = 27° C = 27 + 273 = 300 K

    Step 1: Use the formula of linear expansion.

    We know that,

    Δd = -d1αsteel(T1 - T)

    T1 is temperature after cooling.

    Step 2: Find the final temperature.

    0.01 = -8.7 × 1.20 × 10-5 × (T1 - 300)

    (T1 - 300) = -95.78

    T1 = 204.21 K

    = -68.95°C

    Therefore the wheel will slip on the shaft when the temperature is -69 °C.

     

Self Studies
User
Question Analysis
  • Correct -

  • Wrong -

  • Skipped -

My Perfomance
  • Score

    -

    out of -
  • Rank

    -

    out of -
Re-Attempt Weekly Quiz Competition
Self Studies Get latest Exam Updates
& Study Material Alerts!
No, Thanks
Self Studies
Click on Allow to receive notifications
Allow Notification
Self Studies
Self Studies Self Studies
To enable notifications follow this 2 steps:
  • First Click on Secure Icon Self Studies
  • Second click on the toggle icon
Allow Notification
Get latest Exam Updates & FREE Study Material Alerts!
Self Studies ×
Open Now