Self Studies

Physics Test 193

Result Self Studies

Physics Test 193
  • Score

    -

    out of -
  • Rank

    -

    out of -
TIME Taken - -
Self Studies

SHARING IS CARING

If our Website helped you a little, then kindly spread our voice using Social Networks. Spread our word to your readers, friends, teachers, students & all those close ones who deserve to know what you know now.

Self Studies Self Studies
Weekly Quiz Competition
  • Question 1
    4 / -1

    A satellite S is moving in an elliptical orbit around the earth. The mass of the satellite is very small compared to the mass of the earth. Then,

    Solution

    The gravitational force on the satellite S acts towards the centre of the earth, so the acceleration of the satellite S is always directed towards the centre of the earth.

     

  • Question 2
    4 / -1

    A black hole is an object whose gravitational field is so strong that even light cannot escape from it. To what approximate radius would earth (mass = 5.98 × 1024kg) have to be compressed to be a black hole?

    Solution

     

  • Question 3
    4 / -1

    Infinite number of bodies, each of mass 2 kg are situated on x-axis at distances 1 m, 2 m, 4 m, 8 m ,..., respectively, from the origin. The resulting gravitational potential due to this system at the origin will be

    Solution

    The resulting gravitational potential at the origin O due to each of mass 2 kg located at positions as shown in figure is

     

     

  • Question 4
    4 / -1

    The radius of a planet is twice the radius of earth. Both have almost equal average mass-densities. VP and VE are escape velocities of the planet and the earth, respectively, then

    Solution

     

  • Question 5
    4 / -1

    The height at which the weight of a body becomes 1/16th its weight on the surface of earth (radius R), is

    Solution

     

  • Question 6
    4 / -1

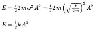
    The total mechanical energy of a spring-mass system in simple harmonic motion is E = 1/2mω2A2. Suppose the oscillating particle is replaced by another particle of double the mass while the amplitude A remains the same. The new mechanical energy will

    Solution

    Total energy depends on k of spring and amplitude A. It is independent of mass.

     

  • Question 7
    4 / -1

    A body describes simple harmonic motion with an amplitude of 5 cm, and a period of 0.2 s. Find the acceleration and velocity of the body when the displacement is 3 cm, and when the displacement is zero.

    Solution

     

  • Question 8
    4 / -1

    A particle of mass m oscillates with simple harmonic motion between points x1 and x2, the equilibrium position being O. Its potential energy is plotted. It will be as given below in the graph

    Solution

    Potential energy of particle performing SHM varies parabolically in such a way that at mean position it becomes zero and maximum at extreme position.

     

  • Question 9
    4 / -1

    Two simple harmonic motions of angular frequency 100 and 1000 rad s–1 have the same displacement amplitude. The ratio of their maximum acceleration is

    Solution

     

  • Question 10
    4 / -1

    The displacement of a particle along the x-axis is given by x = asin2ωt. The motion of the particle corresponds to

    Solution

     

Self Studies
User
Question Analysis
  • Correct -

  • Wrong -

  • Skipped -

My Perfomance
  • Score

    -

    out of -
  • Rank

    -

    out of -
Re-Attempt Weekly Quiz Competition
Self Studies Get latest Exam Updates
& Study Material Alerts!
No, Thanks
Self Studies
Click on Allow to receive notifications
Allow Notification
Self Studies
Self Studies Self Studies
To enable notifications follow this 2 steps:
  • First Click on Secure Icon Self Studies
  • Second click on the toggle icon
Allow Notification
Get latest Exam Updates & FREE Study Material Alerts!
Self Studies ×
Open Now