Self Studies

Physics Test 198

Result Self Studies

Physics Test 198
  • Score

    -

    out of -
  • Rank

    -

    out of -
TIME Taken - -
Self Studies
Weekly Quiz Competition
  • Question 1
    4 / -1

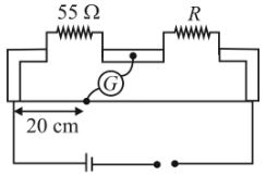
    Shown in the figure is a meter-bridge set up with null deflection in the galvanometer. The value of the unknown resistor R is

    Solution

     

  • Question 2
    4 / -1

    Constant current is flowing through a linear conductor of non-uniform area of cross-section. The charge flowing per second through the area of conductor at any cross-section is

    Solution

    The quantity of charge flowing through any cross-section per second is defined as Current.

    And as it is given that, Current through the conductor is constant so it will be same throughout irrespective of the cross-section area.

    Hence, the charge flowing per second will be independent of the area of cross-section.

     

  • Question 3
    4 / -1

    A meter bridge is used to determine the resistance of an unknown wire by measuring the balance point length l. If the wire is replaced by another wire of same material but with double the length and half the thickness, the balancing point is expected to be

    Solution

    In a meter bridge the ratio of two resistances is

    Therefore, the new balancing point is expected to be 8l.

     

  • Question 4
    4 / -1

    Potential difference between points A and B (i.e. VA - VB) is

    Solution

     

  • Question 5
    4 / -1

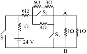
    When the switches are arranged so that the current through the battery is maximum, what is the voltage across points A and B-

    Solution

     

  • Question 6
    4 / -1

    The dimensions [MLT−2A−2] belong to the

    Solution

    Dimensional formula of magnetic permeability is [MLT−2A−2]

     

  • Question 7
    4 / -1

    A uniform conducting wire of length 12a and resistance 'R' is wound up as a current carrying coil in the shape of,

    (i) an equilateral triangle of side 'a'.

    (ii) a square of side 'a'.

    The magnetic dipole moments of the coil in each case respectively are

    Solution

    Current in the loop will be V/R = l which is same for both loops.

     

  • Question 8
    4 / -1

    The magnetic field B on the axis of a circular coil at distance x far away from its centre are related as:

    Solution

     

  • Question 9
    4 / -1

    The magnetic susceptibility is negative for

    Solution

    Magnetic susceptibility is negative for diamagnetic material only.

     

  • Question 10
    4 / -1

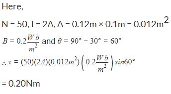
    A rectangular coil of length 0.12 m and width 0.1 m having 50 turns of wire is suspended vertically in a uniform magnetic field of strength 0.2Weber/m2. The coil carries a current of 2 A. If the plane of the coil is inclined at an angle of 30° with the direction of the field, the torque required to keep the coil in stable equilibrium will be

    Solution

    The required torque is τ = NIABsinθ

    where N is the number of turns in the coil, I is the current through the coil, B is the uniform magnetic field, A is the area of the coil and 0 is the angle between the direction of the magnetic field and normal to the plane of the coil.

     

Self Studies
User
Question Analysis
  • Correct -

  • Wrong -

  • Skipped -

My Perfomance
  • Score

    -

    out of -
  • Rank

    -

    out of -
Re-Attempt Weekly Quiz Competition
Self Studies Get latest Exam Updates
& Study Material Alerts!
No, Thanks
Self Studies
Click on Allow to receive notifications
Allow Notification
Self Studies
Self Studies Self Studies
To enable notifications follow this 2 steps:
  • First Click on Secure Icon Self Studies
  • Second click on the toggle icon
Allow Notification
Get latest Exam Updates & FREE Study Material Alerts!
Self Studies ×
Open Now