Self Studies

Chemistry Test - 7

Result Self Studies

Chemistry Test - 7
  • Score

    -

    out of -
  • Rank

    -

    out of -
TIME Taken - -
Self Studies
Weekly Quiz Competition
  • Question 1
    1 / -0

    In Carius method of estimation of halogen, 0.172 g of an organic compound showed presence of 0.08 g of bromine. Which of these is the correct structure of the compound?

    Solution

  • Question 2
    1 / -0

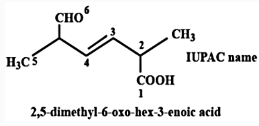
    The IUPAC name for the following compound is:

    Solution

    The IUPAC name of the compound is 2, 5-dimethyl-6-oxo-hex-3-enoic acid.

  • Question 3
    1 / -0

    The ratio of a radius of an nucleus to that of the atom is of the order of:

    Solution

    Nuclear radius \(=10^{-15} \mathrm{~m}\)

    Atomic radius \(=10^{-10} \mathrm{~m}\)

    Ratio \(=\frac{\text { Nuclear radius }}{\text { Atomic radius }}=\frac{10^{-15}}{10^{-10}}=10^{-5}\)

    So, the ratio of the radius of the nucleus to the radius of the atom is of the order of \(10^{-5}\).

  • Question 4
    1 / -0

    Atmospheric pollution is generally studied as:

    Solution

    Atmospheric pollution is generally studied as tropospheric and stratospheric pollution. The presence of ozone in the stratosphere prevents about 99.5 per cent of the sun’s harmful ultraviolet (UV) radiations from reaching the earth’s surface and thereby protecting humans and other animals from its effect.

    Tropospheric pollution occurs due to the presence of undesirable solid or gaseous particles in the air. The following are the major gaseous and particulate pollutants present in the troposphere:
    1. Gaseous air pollutants: These are oxides of sulphur, nitrogen and carbon, hydrogen sulphide, hydrocarbons, ozone and other oxidants.
    2. Particulate pollutants: These are dust, mist, fumes, smoke, smog etc.
    The upper stratosphere consists of considerable amount of ozone (O3), which protects us from the harmful ultraviolet (UV) radiations (λ 255 nm) coming from the sun. These radiations cause skin cancer (melanoma) in humans. Therefore, it is important to maintain the ozone shield.
  • Question 5
    1 / -0

    ______ is the only non-metal placed with alkali metals.

    Solution

    Hydrogen is the only non-metal placed with alkali metals.

  • Question 6
    1 / -0

    The arrangement of \(\mathrm{X}^{-}\) ions around \(\mathrm{A}^{+}\) ion in solid \(\mathrm{AX}\) is given in the figure (not drawn to scale). If the radius of \(\mathrm{X}^{-}\) is \(250 \mathrm{pm},\) what is the radius of \(\mathrm{A}^{+}\)?

    Solution

    According to the given figure, \(A^{+}\) is present in the octahedral void of \(X^{-}\). 

    The limiting radius in octahedral void is related to the radius of sphere as

    \({r}_{{void}}=0.414 {r}_{\text {sphere }}\)

    \({r}_{{A}^{+}}=0.414 {r}_{{X}}\)

    \(=0.414 \times 250=103.5\)

    \(\approx 104 {pm}\)

  • Question 7
    1 / -0

    In which one of the following properties, physisorption and chemisorption resemble each other?

    Solution

    Physical and chemical adsorption resemble only in effect of surface area, as:

    (a) Force of attraction is more in case of chemical adsorption.

    (b) Enthalpy of adsorption is more negative for chemical adsorption.

    (c) Chemical adsorption depends on activation energy. Thus, it initially increases then decreases for increase in temperature. While physical adsorption only decreases with the increase in temperature.

    (d) Physical adsorption is multilayered while chemical adsorption is single layer adsorption.

  • Question 8
    1 / -0

    When the value of \(\frac{V}{q}\) is infinity,it means:

    Solution
    When the value of \(\frac{V}{q}\) is infinity, it means dead space.
    Dead space has particular significance in the concept of ventilation \(V\) and perfusion \(Q\) in the lung, represented by the \(\frac{V}{q}\) ratio. Alveoli with no perfusion have a \(\frac{V}{q}\) of infinity (\(Q=0\)), whereas alveoli with no ventilation have a \(\frac{V}{q}\) of \(0\) (\(V=0\)). Therefore, in situations (i.e., \(\frac{V}{q}=\) infinity) in which the alveoli are ventilated but not perfused, gas exchange cannot occur, such as when pulmonary embolism increases alveolar dead space.
  • Question 9
    1 / -0

    According to Werner's theory of coordination compounds:

    Solution

    Primary valency is ionizable according to Werner's theory of coordination compounds.

    According to Werner's theory, a coordination compound has two different types of valency, primary and secondary. The primary valency or the ionizable valency is satisfied by the negatively charged ions in the solution.

    Primary valencyis ionizable and is satisfied by the negative charges whereasSecondary valency is non-ionizable and is satisfied by the positive charged or neutral species in the solution.The primary valency corresponds to the oxidation state of the metal ion. The secondary valency corresponds to the coordination number of the metal complex. The molecules or ions that satisfy the secondary valency are called ligands and they can be either negatively charged or neutral.

    For example, in \(\left[ Cu \left( NH _{3}\right)_{4}\right] SO _{4}\) primary valency is 2 and secondary valency is 4. Secondary valence refers to coordination number. Since copper is coordinated to 4 ammonia ligands, secondary valence is 4. Primary valence is satisfied by anions. Since sulphate ion has \(-2\) charge, primary valence is 2.

  • Question 10
    1 / -0

    Chemical name of Gammaxane is:

    Solution

    Under ultra-violet light, three chlorine molecules add to benzene to produce benzene hexachloride, C6H6Cl6 which is also calledgammaxane.Benzene hexachloride is an isomer of hexachlorocyclohexane with a chemical formula C6H6Cl6.It is also known as Lindane or hexachloride.

    Uses of Benzene hexachloride (C6H6Cl6):

    • Benzene hexachloride is used as an insecticide on crops, in forestry, for seed treatment.
    • It is used in the treatment of head and body lice.
    • It is used in pharmaceuticals.
    • It is used to treat scabies.
    • It is used in shampoo.
Self Studies
User
Question Analysis
  • Correct -

  • Wrong -

  • Skipped -

My Perfomance
  • Score

    -

    out of -
  • Rank

    -

    out of -
Re-Attempt Weekly Quiz Competition
Self Studies Get latest Exam Updates
& Study Material Alerts!
No, Thanks
Self Studies
Click on Allow to receive notifications
Allow Notification
Self Studies
Self Studies Self Studies
To enable notifications follow this 2 steps:
  • First Click on Secure Icon Self Studies
  • Second click on the toggle icon
Allow Notification
Get latest Exam Updates & FREE Study Material Alerts!
Self Studies ×
Open Now