Self Studies

Mathematics Test - 41

Result Self Studies

Mathematics Test - 41
  • Score

    -

    out of -
  • Rank

    -

    out of -
TIME Taken - -
Self Studies

SHARING IS CARING

If our Website helped you a little, then kindly spread our voice using Social Networks. Spread our word to your readers, friends, teachers, students & all those close ones who deserve to know what you know now.

Self Studies Self Studies
Weekly Quiz Competition
  • Question 1
    5 / -1

    Which of the following functions is not a solution for the differential equation y” + 9y = 0?

    Solution

    Given the differential equation:

    y'' + 9y = 0

    We need to find which function satisfies this equation.

    Step 1: Test each option by calculating y'' + 9y

    Option A: y = 5 tan 3x

    • y = 5 tan 3x

    • y' = 5 * 3 sec² 3x = 15 sec² 3x

    • y'' = 15 * derivative of sec² 3x = 15 * 2 sec² 3x * tan 3x * 3 = 90 sec² 3x tan 3x (using chain rule)

    Now, y'' + 9y = 90 sec² 3x tan 3x + 9 * 5 tan 3x = tan 3x (90 sec² 3x + 45) which is not zero for all x.

    Option A does not satisfy the equation.

    Option B: y = 5 cos 3x

    • First derivative: y' = 5 * (-3 sin 3x) = -15 sin 3x

    • Second derivative: y'' = -15 * 3 cos 3x = -45 cos 3x

    Now, compute y'' + 9y:

    y'' + 9y = -45 cos 3x + 9 * 5 cos 3x = -45 cos 3x + 45 cos 3x = 0

    So, Option B satisfies the differential equation.

    Option C: y = cos 3x

    • y' = -3 sin 3x

    • y'' = -9 cos 3x

    Compute y'' + 9y:

    -9 cos 3x + 9 cos 3x = 0

    Option C satisfies the equation.

    Option D: y = 6 cos 3x

    • y' = -18 sin 3x

    • y'' = -54 cos 3x

    Compute y'' + 9y:

    -54 cos 3x + 9 * 6 cos 3x = -54 cos 3x + 54 cos 3x = 0

    Option D satisfies the equation.

    Final answer:

    Options B, C, and D satisfy the differential equation y'' + 9y = 0.

    Among the given choices,

    B: y = 5 cos 3x
    C: y = cos 3x
    D: y = 6 cos 3x

    are solutions.

    Only Option A is not a solution.

     

  • Question 2
    5 / -1

    Which of the following differential equations given below has the solution y = log⁡x?

    Solution

     

  • Question 3
    5 / -1

    Which of the following functions is a solution for the differential equation dy/dx -14x = 0?

    Solution

    Consider the function y = 7x2

    Differentiating w.r.t x, we get

    dy/dx = 14x

    ⇒ dy/dx -14x = 0

    Hence, the function y = 7x2 is a solution for the differential equation dy/dx - 14x = 0

     

  • Question 4
    5 / -1

    The smallest value of the polynomial x3−18x2+96 in the interval [0, 9] is

    Solution

    To find the smallest value of the polynomial

    f(x) = x³ - 18x² + 96 on the interval [0, 9], follow these steps:

    Step 1: Find the derivative

    To locate critical points, we differentiate the function:

    f'(x) = 3x² - 36x

    Step 2: Set the derivative equal to zero

    3x² - 36x = 0

    Factor the expression:

    3x(x - 12) = 0

    This gives two critical points:

    x = 0 and x = 12

    Step 3: Check which points lie in the interval [0, 9]

    Since x = 12 is outside the interval, we only consider:

    • x = 0

    • x = 9 (right endpoint of the interval)

    Step 4: Evaluate f(x) at x = 0 and x = 9

    • f(0) = 0³ - 18(0)² + 96 = 96

    • f(9) = 9³ - 18(9)² + 96
      = 729 - 1458 + 96
      = -633

    Step 5: Conclusion

    The smallest value of the function on [0, 9] is:

    -633 at x = 9

     

  • Question 5
    5 / -1

    Solution

     

  • Question 6
    5 / -1

    Solution

     

  • Question 7
    5 / -1

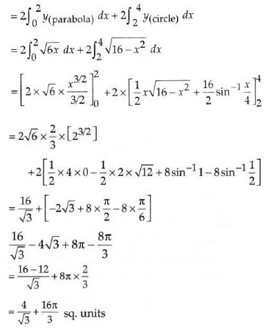
    The area common to the circle x2+y2 = 16 and the parabola y= 6x is

    Solution

    Solving eqns. (i) and (ii), we get points of intersection (2, 2√3) and (2, -2√3) Substituting these values of x in eq. (ii). Since both curves are symmetrical about r-axis.

    Hence the required area 

     

  • Question 8
    5 / -1

    What will be the nature of the equation sin(x + α)/sin(x + β)?

    Solution

    Let, y = sin(x + α)/sin(x + β)

    Then,

    dy/dx = [cos(x + α)sin(x + β) – sin(x + α)cos(x + β)]/sin2(x + β)

    = sin(x+β – x-α)/sin2(x + β)

    Or sin(β – α)/sin2(x + β)

    So, for minimum or maximum value of x we have,

    dy/dx = 0

    Or sin(β – α)/sin2(x + β) = 0

    Or sin(β – α) = 0 ……….(1)

    Clearly, equation (1) is independent of x; hence, we cannot have a real value of x as root of equation (1).

    Therefore, y has neither a maximum or minimum value.

     

  • Question 9
    5 / -1

    Given, f(x) = x3 – 12x2 + 45x + 8. What is the maximum value of f(x)?

    Solution

    We have, f(x) = x3 – 12x2 + 45x + 8 ……….(1)

    Differentiating both sides of (1) with respect to x we

    f’(x) = 3x2 – 24x + 45

    3x2 – 24x + 45 = 0

    Or x2 – 8x + 15 = 0

    Or (x – 3)(x – 5) = 0

    Thus, either x – 3 = 0 i.e., x = 3 or x – 5 = 0 i.e., x = 5

    Therefore, f’(x) = 0 for x = 3 and x = 5.

    If h be a positive quantity, however small, then,

    f’(3 – h) = 3*(3 – h – 3)(3 – h – 5) = 3h(h + 2) = positive.

    f’(3 + h) = 3*(3 + h – 3)(3 + h – 5) = 3h(h – 2) = negative.

    Clearly, f’(x) changes sign from positive on the left to negative on the right of the point x = 3.

    So, f(x) has maximum at 3.

    Putting, x = 3 in (1)

    Thus, its maximum value is,

    f(3) = 33 – 12*32 + 45*3 + 8 = 62.

     

  • Question 10
    5 / -1

    The Poisson distribution comes under which probability distribution?

    Solution

    Poisson distribution shows the number of times an event is likely to occur within a specified time. It is used only for independent events that occur at a constant rate within a given interval of time.

     

Self Studies
User
Question Analysis
  • Correct -

  • Wrong -

  • Skipped -

My Perfomance
  • Score

    -

    out of -
  • Rank

    -

    out of -
Re-Attempt Weekly Quiz Competition
Self Studies Get latest Exam Updates
& Study Material Alerts!
No, Thanks
Self Studies
Click on Allow to receive notifications
Allow Notification
Self Studies
Self Studies Self Studies
To enable notifications follow this 2 steps:
  • First Click on Secure Icon Self Studies
  • Second click on the toggle icon
Allow Notification
Get latest Exam Updates & FREE Study Material Alerts!
Self Studies ×
Open Now