Self Studies

Mathematics Tes...

TIME LEFT -
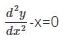
  • Question 1
    5 / -1

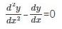
    Which of the following functions is not a solution for the differential equation y” + 9y = 0?

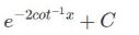
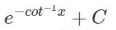
  • Question 2
    5 / -1

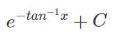
    Which of the following differential equations given below has the solution y = log⁡x?

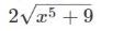
  • Question 3
    5 / -1

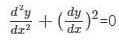
    Which of the following functions is a solution for the differential equation dy/dx -14x = 0?

  • Question 4
    5 / -1

    The smallest value of the polynomial x3−18x2+96 in the interval [0, 9] is

  • Question 5
    5 / -1

  • Question 6
    5 / -1

  • Question 7
    5 / -1

    The area common to the circle x2+y2 = 16 and the parabola y= 6x is

  • Question 8
    5 / -1

    What will be the nature of the equation sin(x + α)/sin(x + β)?

  • Question 9
    5 / -1

    Given, f(x) = x3 – 12x2 + 45x + 8. What is the maximum value of f(x)?

  • Question 10
    5 / -1

    The Poisson distribution comes under which probability distribution?

Submit Test
Self Studies
User
Question Analysis
  • Answered - 0

  • Unanswered - 10

  • 1
  • 2
  • 3
  • 4
  • 5
  • 6
  • 7
  • 8
  • 9
  • 10
Submit Test
Self Studies Get latest Exam Updates
& Study Material Alerts!
No, Thanks
Self Studies
Click on Allow to receive notifications
Allow Notification
Self Studies
Self Studies Self Studies
To enable notifications follow this 2 steps:
  • First Click on Secure Icon Self Studies
  • Second click on the toggle icon
Allow Notification
Get latest Exam Updates & FREE Study Material Alerts!
Self Studies ×
Open Now