Self Studies

Analog Electronics Test 2

Result Self Studies

Analog Electronics Test 2
  • Score

    -

    out of -
  • Rank

    -

    out of -
TIME Taken - -
Self Studies
Weekly Quiz Competition
  • Question 1
    2 / -0.33

    The transistor in circuit shown in fig. has β = 200. Determine the value of voltage Vo for given value of VBB.

    Solution

    Cutoff region (VBB < 0.7V)

    • Base–emitter not forward biased → IC = 0.
    • Output VO is just the voltage-divider result:
      VO = (5V × 10kΩ) / (5kΩ + 10kΩ) = 3.33V.

    Active region (0.7V ≤ VBB < 0.935V)

    • Base current:
      IB = (VBB - 0.7) / 50kΩ.

    • Collector current:
      IC = β × IB = 200 × IB = 0.004 × (VBB - 0.7).

    • KCL at collector (VO):
      (5 - VO) / 5kΩ = IC + VO / 10kΩ
      ⟹ VO = (38 - 40 × VBB) / 3.

    Saturation (VBB ≥ 0.935V

    • From the active-region formula, VO would drop below ≈ 0.2V.
    • Thus, the transistor saturates at VCE ≈ 0.2V, giving VO ≈ 0.2V
  • Question 2
    2 / -0.33

    The transistor shown in the circuit of fig. has β = 150. Determine Vo for given value of IQ in question

    Solution

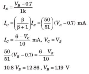
  • Question 3
    2 / -0.33

    For the circuit in fig. VB = VC and β = 50. The value of VB is

    Solution

  • Question 4
    2 / -0.33
    Consider on ideal operational amplifier connected to a source feeds a load then which statement is true for Op-amp.
    Solution
    • An operational amplifier is a DC-coupled high gain electronic voltage amplifier with a differential input and usually a single-ended output.
    • The input offset voltage is defined as the voltage that must be applied between the two terminals of the op-amp to obtain zero volts at the output.
    • Ideally, the difference between both input offset voltages should be zero for zero output voltage. Differential offset voltage = 0 for Vout = 0
    • Slew rate is defined as the maximum rate of change of an op amp’s output voltage and is given units of volts per microsecond.
    • Ideally for infinite bandwidth of op-amp phase shift is zero and the slew rate is also infinite.
    • The phase shift of op-amp is defined as how far the function is shifted (horizontally or vertically from the usual position).
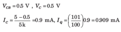
  • Question 5
    2 / -0.33

    For the circuit shown in fig. VCB = 0.5 V and β =100. The value of IQ is

    Solution

  • Question 6
    2 / -0.33
    Compared to an amplifier (without feedback), a negative feedback amplifier having voltage series feedback will have
    Solution
    • Negative feedback reduces the gain of the system by a factor of (1 + Aβ). Thus, because of feedback configuration, voltage gain will be decreased by a factor (1 + Aβ).
    • Voltage series type feedback tells us that the input of the system is series connected with the feedback loop and series connection corresponds to increased impedance. Therefore the input impedance will be increased by a factor (1 + Aβ).
  • Question 7
    2 / -0.33

    For the circuit shown in fig. the emitter voltage is VE = 2 V. The value of α is

    Solution

  • Question 8
    2 / -0.33

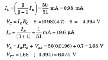
    For the transistor in fig. β = 50. The value of voltage VEC is

    Solution

  • Question 9
    2 / -0.33

    The current gain of the transistor shown in the circuit of fig. is β = 125. The Q-point values (ICQ, VCEQ) are

    Solution

  • Question 10
    2 / -0.33

    For the circuit in fig. , let β = 60. The value of VECQ is

    Solution

  • Question 11
    2 / -0.33
    The filter which has ripple response in pass band and flat response in stop band is
    Solution

    Chebyshev Filter:

    • It is also called an equal rip­ple filter.
    • It gives a sharper cut-off than Butterworth filter in the passband.
    • It has a ripple response in the passband and flat response in the stopband. it is also known as an equal-ripple response.
    • Both Butterworth and Chebyshev filters exhibit large phase shifts near the cut-off frequency.
    • A drawback of the Chebyshev fil­ter is the appearance of gain maxima and minima below the cut-off frequency.
    • This gain ripple, ex­pressed in dB, is an adjustable parameter in filter design.
    • A Chebyshev filter is used where a very sharp roll-off is required. However, this is achieved at the expense of a gain ripple in the lower frequency passband.

    Butterworth Filter:

    • This filter is also called a maximally flat or flat filter. This class of filters approximates the ideal fit in the passband. 
    • it's filter response characterized by flat passband. it is also known as a maximally flat response.
    • The Butterworth filter has an essentially flat amplitude-fre­quency response up to the cut­off frequency. 
    • Butterworth filters have the sharpest attenuation, their phase-shift as a function of frequency is non-linear.
    • It has a monotonic drop in gain with frequency in the cut-off region and a maximally flat response below the cut-off frequency.
    • The Butterworth filter has characteristics somewhere be­tween those of Chebyshev and Bessel filters.
    • It has a moderate roll-off of the skirt and a slightly non­linear phase responses.
  • Question 12
    2 / -0.33

    All transistor in the N output mirror in fig. are matched with a finite gain β and early voltage VA = ∞. The expression for each load current is

    Solution

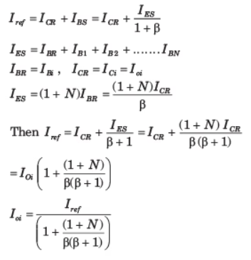
  • Question 13
    2 / -0.33

    Consider the basic three transistor current source in fig. Assume all transistor are matched with finite gain and early voltage VA = ∞.The expression for Io is

    Solution

  • Question 14
    2 / -0.33

    Consider the wilder current source of fig. Both of transistor are identical and β>>1 and VBE1 = 0.7 V. The value of resistance R1 and RE to produce Iref = 1 mA and Io = 12 μA is (Vt = 0.026)

    Solution

  • Question 15
    2 / -0.33

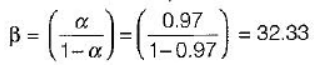
    In a transitor, the value of α is 0.97. The value of current gain of common emitter configuration is

    Solution

    Current gain of CE configuration is

  • Question 16
    2 / -0.33

    A transistor has IB = 100 μA and IC = 2 mA. If IB changes by 25 μA and IC changes by 0.6 mA, the Changes in the value of β Would be

    Solution

  • Question 17
    2 / -0.33

    For a transistor having α = 0.98, ICBO = 5 μA and IB = 100 μA. The value of IC is

    Solution

  • Question 18
    2 / -0.33

    For the circuit shown below, the collector to emitter voltage is

    Solution

  • Question 19
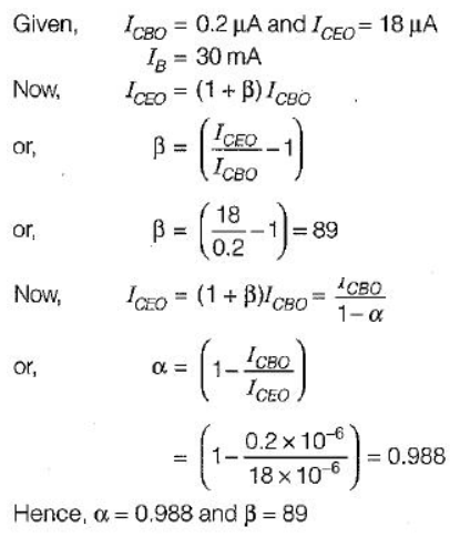
    2 / -0.33

    The reverse leakage current of the transistor when connected in CB configuration is 0.2 μA and it is 18 μA when the same transistor is connected in CE configuration. The value of α and β of the transistor for a base current of 30 mA will be respectively

    Solution

  • Question 20
    2 / -0.33

    The value of Vc for the transistor shown in figure below is

    Solution

  • Question 21
    2 / -0.33

    The mobility of free electrons and holes in pure germanium are 3800 and 1800 cm2/V-s respectively. The corresponding values for pure silicon are 1300 and 500 cm2/V-s, respectively. Assuming ni = 2.5 x 1013 cm-3 for germanium and ni = 1.5 x 1010 cm-3 for silicon at room temperature, the values of intrinsic conductivity for germanium and silicon are respectively given by

    Solution

  • Question 22
    2 / -0.33

    When an electric field is applied across a semiconductor, free electrons in it will accelerate due to the applied field, and gain energy. This energy can be lost as heat when the electrons

    Solution

    When an electron is accelerated by the potential applied to a semiconductor, the energy gained from the field may then be transferred to an atom when the electron collides with the atom.

  • Question 23
    2 / -0.33

    How does the bandgap of a material influence its suitability for use in high-frequency electronic devices?

    Solution

    The bandgap determines how easily carriers (electrons or holes) can be excited to the conduction band. A small bandgap, as in semiconductors like gallium arsenide, allows easier carrier excitation, enabling faster carrier movement and higher switching speeds, which are critical for high-frequency devices. Large bandgaps (e.g., insulators) hinder carrier excitation, while metals (no bandgap) have different limitations.

  • Question 24
    2 / -0.33

    If elements in column IV of the periodic table are placed in increasing order of their atomic number, the order will be

    Solution

    To arrange the elements in column IV of the periodic table by their atomic number:

    • Carbon (C) has the lowest atomic number.
    • Silicon (Si) follows Carbon.
    • Germanium (Ge) comes next.
    • Tin (Sn) has the highest atomic number in this group.

    The correct increasing order of atomic numbers is:

    • C, Si, Ge, Sn
  • Question 25
    2 / -0.33

    The density and mobility of electrons in a conductor are respectively 1020/cm3 and 800 cm2/V-s. If a uniform electric field of 1 V/cm exists across this conductor, then the electron current density would be approximately

    Solution

    The current density is given by

Self Studies
User
Question Analysis
  • Correct -

  • Wrong -

  • Skipped -

My Perfomance
  • Score

    -

    out of -
  • Rank

    -

    out of -
Re-Attempt Weekly Quiz Competition
Self Studies Get latest Exam Updates
& Study Material Alerts!
No, Thanks
Self Studies
Click on Allow to receive notifications
Allow Notification
Self Studies
Self Studies Self Studies
To enable notifications follow this 2 steps:
  • First Click on Secure Icon Self Studies
  • Second click on the toggle icon
Allow Notification
Get latest Exam Updates & FREE Study Material Alerts!
Self Studies ×
Open Now