Self Studies

Chemistry Test - 26

Result Self Studies

Chemistry Test - 26
  • Score

    -

    out of -
  • Rank

    -

    out of -
TIME Taken - -
Self Studies
Weekly Quiz Competition
  • Question 1
    4 / -1

    The electronic configuration of an element is \(1 \mathrm{s}^{2}, 2 \mathrm{s}^{2}, 2 \mathrm{p}^{6}, 3 \mathrm{s}^{2}, 3 \mathrm{p}^{3} .\) Which is the atomic number of the element which is just below the above element in the periodic table?

    Solution

    The electron configuration is the distribution of electrons of an atom or molecule in atomic or molecular orbitals. For example, the electron configuration of the neon atom is. Electronic configurations describe each electron as moving independently in an orbital, in a mean-field created by all other orbitals. According to the laws of quantum physics, for systems with just one electron, A level of energy is related to each electron configuration and in certain conditions, electrons are able to move from one configuration to a different by the emission or absorption of a quantum of energy, within the sort of a photon. Knowledge of the electron configuration of various atoms is beneficial in understanding the structure of the table of elements. So, the atomic number of the above element is \(2+2+6+2+3=15 .\) 

    Thus, the atomic number of the element below the given element is \(15+18=33\).

  • Question 2
    4 / -1

    A copper strip having \(3 \mathrm{~cm}\) length and \(4 \mathrm{~cm}\) breadth is coated with silver of \(2 \mathrm{~mm}\) thickness. Calculate the quantity of electricity (in coulomb) required for the above process. (Density of \(\mathrm{Ag}=10.5 \mathrm{~g} \mathrm{~cm}^{-3}\) )

    Solution

    We know from the first law of electrolysis, the mass of silver deposited, can be given by the formula:

    \(m=Z \cdot Q\quad\quad\).....(1)

    Where \(\mathrm{Z}\) is electrochemical equivalent.

    \(\mathrm{Q}\) is the quantity of electricity which we have to find out.

    To find mass \((\mathrm{m})\), we know formula of density:

    density \(=\frac{\text { mass }}{\text { volume }}\)

    Density of silver \(=10.5 g \mathrm{~cm}^{-3}\) (given)

    Length \(=3 \mathrm{~cm} ;\) breadth \(=4 \mathrm{~cm} ;\) thickness \(=2 \mathrm{~mm}=0.2 \mathrm{~cm}\) (given)

    Volume \(=\) Length \(\times\) breadth \(\times\) thickness

    Substitute values to find volume.

    Volume \(=3 \times 4 \times 0.2\)

    \(\therefore\) Volume \(=2.4 \mathrm{~cm}^{3}\)

    Substitute, density, volume to get mass into formula:

    \(10.5=\frac{\text { mass }}{2.4}\)

    So now to find mass, cross multiply.

    \(\therefore\) mass \(=10.5 \times 2.4=25.2 \mathrm{~gm}\)

    We need to find \(\mathrm{Z}\), electrochemical equivalent, using formula:

    \(Z=\frac{\text { Molar mass }}{n \times F}\)

    Molar mass \(=108\)

    \(\mathrm{F}=96500 \mathrm{~C}\)

    The reaction can be shown as below:

    \(\mathrm{Ag}^{+}+e^{-} \rightarrow \mathrm{Ag}\)

    \(\therefore n~ (\)number of electrons\()=1\)

    Substitute all these values, to find \(Z\):

    \(Z=\frac{108}{1 \times 96500}\)

    To substitute values of \(Z\) and mass into equation 1, we get:

    \(m=Z \cdot Q\)

    \(\Rightarrow25.2=\frac{108}{96500} \times Q\)

    Take all numerical values on one side, and find Q:

    \(Q=\frac{25.2 \times 96500}{108}\)

    \(\therefore Q=22516.67 ~C\)

    Hence, the correct answer is \(22516.67 ~C\).

  • Question 3
    4 / -1

    The species present in solution when \(\mathrm{C} \mathrm{O}_{2}\) is dissolved in water are:

    Solution

    Carbon dioxide dissolves in water to form carbonic acid.

    \(\mathrm{C} \mathrm{O}_{2}+\mathrm{H}_{2} \mathrm{O} \rightleftharpoons \mathrm{H}_{2} \mathrm{C} \mathrm{O}_{3}\)

    Carbonic acid is  a weak acid. It dissociates to form carbonate and bicarbonate ions.

    \(\mathrm{H}_{2} \mathrm{C O}_{3}+\mathrm{H}_{2} \mathrm{O} \rightleftharpoons \mathrm{H C O}_{3}^{-}+\mathrm{H}_{3} \mathrm{O}^{+}\)

    Bicarbonate ion dissociates to form carbonate ion.

    \(\mathrm{H C O}_{3}^{-}+\mathrm{H}_{2} \mathrm{O} \rightleftharpoons \mathrm{CO}_{3}^{2-}+\mathrm{H}_{3} \mathrm{O}^{+}\)

    Thus, the species present in the solution are \(\mathrm{C} \mathrm{O}_{2}, \mathrm{H}_{2} \mathrm{CO}_{3}, \mathrm{HCO}_{3}^{-}, \mathrm{CO}_{3}^{2-} .\)

  • Question 4
    4 / -1

    In acidic medium, \(\mathrm {H_{2} O_{2}}\) changes \(\mathrm {C r_{2} O_{7}^{2-}}\) to \(\mathrm {C r O_{5}}\) which has two (-O-O-) bonds. Oxidation state of \(\mathrm{Cr}\) in \(\mathrm{Cr} O_{5}\) is:

    Solution

    Let's see the structure of \(\mathrm{CrO}_{5}\) to get ahead.

    You need to remember that \(\mathrm{Cr} O_{5}\) contains two -O-O- linkages. So, in short \(\mathrm{CrO}_{5}\) has four oxygen atoms that are in peroxide linkage.

    Now, that is a rule that if oxygen atom is involved in a peroxide linkage, then both the oxygen have oxidation number \(+1\) which is different from the normal oxidation state of the oxygen atom.

    Let's calculate the oxidation state of \(\mathrm{Cr}\) in \(\mathrm{Cr} \mathrm{O}_{5}\).

    Overall charge on compound= Oxidation state of \(\mathrm{Cr}+4\) (Oxidation state of oxygen in peroxide form) + Oxidation state of other oxygen atom

    \(0=\) Oxidation state of \(\mathrm{Cr}+4(-1)+(-2)\)

    \(0=\) Oxidation state of \(C r-4-2\)

    Oxidation state of \(\mathrm{Cr}=4+2\)

    Oxidation state of \(\mathrm{Cr}=+6\)

    Hence, the correct answer is +6.

  • Question 5
    4 / -1

    The dipole moment of \(H B r\) is \(2.6 \times 10^{-30} C-m\) and the interatomic spacing is \(1.41 \mathring A\). The percentage of ionic character in \(H B r\) is:

    Solution

    We are given that the dipole moment of \(H B r\) is \(2.6 \times 10^{-30} C-m\) and the inter atomic spacing is \(1.41 \mathring{A}\).

    We have to calculate its ionic character percentage. Ionic character percent is the amount of electron sharing between two atoms and if the electrons are shared limitedly then the ionic character percent of the molecule will be high.

    The dipole moment can be obtained by the formula \(\mu=B L \times q\).

    where \({BL}\) is the bond length and \(\mathrm{q}\) is the charge of the electron. Bond length is the length of interatomic spacing.

    Bond length is \(1.41 \mathring{A}\) and charge of an electron is \(1.6 \times 10^{-19} \mathrm{C}\).

    \(\Rightarrow \mu=B L \times q\)

    \(\Rightarrow 1 \dot{\mathring{A}}=10^{-10} \mathrm{~m}\)

    \(\Rightarrow B L=1.41 \mathring{A}, q=1.6 \times 10^{-19} \mathrm{C}\)

    \(\Rightarrow \mu=1.41 \times 10^{-10} m \times 1.6 \times 10^{-19} C=2.256 \times 10^{-29} C-m\)

    Therefore, the calculated dipole moment of \(H B r\) is \(2.256 \times 10^{-29} C-m .\)

    The actual dipole moment of \(H B r\) is \(2.6 \times 10^{-30} C-m\).

    Therefore, the ionic character percent of \(H B r\) will be:

    Ionic character percentage of a molecule can be obtained by using the formula:

    \(\Rightarrow I C \%=\frac{\text { Actual dipole moment }}{\text { Calculated dipole moment }} \times 100\)

    \(\Rightarrow\) Actual dipole moment \(=2.6 \times 10^{-30} \mathrm{C}-\mathrm{m}\)

    \(\Rightarrow\) Calculated dipole moment \(=2.256 \times 10^{-29} \mathrm{C}-\mathrm{m}\)

    \(\Rightarrow I C \%=\frac{2.6 \times 10^{-30}}{2.256 \times 10^{-29}} \times 100\)

    \(\Rightarrow I C \%=1.15 \times 10^{-1} \times 100\)

    \(\therefore I C \%=11.5\)

    Hence, the correct answer is 11.5.

  • Question 6
    4 / -1

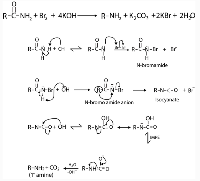
    Acetamide is treated with the following reagents separately. Which one of these would yield methylamine?

    Solution

    The preparation of amines by the reduction of the nitro compound is usually done by the catalytic hydrogenation of metal and acid, it can be used to carry out the reduction and the product formed will be acidic.

    Hoffmann bromamide degradation is the reaction in which amines only primary amines are prepared.

    The amine formed will have one carbon atom less than the amide.

    In this reaction, there is the use of alkali as a strong base that attacks the amide which leads to the deprotonation and generation of an anion. The conversion of a primary amide to a primary amine with one less carbon is accomplished by heating the amide with a mixture of halogen, a strong base and hydrogen.

    The mechanism involved is:

    Mechanism:-

    When Acetamide is treated with bromine and \(\mathrm{NaOH}\), methylamine is produced as potassium bromide, sodium carbonate and a water molecule is produced as a byproduct.

    \(\mathrm{CH}_{3} \mathrm{CONH}_{2}+\mathrm{Br}_{2}+4 \mathrm{NaOH} \rightarrow \mathrm{CH}_{3} \mathrm{NH}_{2}+2 \mathrm{KBr}+\mathrm{Na}_{2} \mathrm{CO}_{3}+2 \mathrm{H}_{2} \mathrm{O}\)

  • Question 7
    4 / -1

    A compound \(X\) on heating gives a colourless gas. The residue is dissolved in water to obtain Y. Excess carbon dioxide is bubbled through an aqueous solution of \(\mathrm{Y} ; \mathrm{Z}\) is formed. \(Z\) on gently heating gives back \(X\). The compound \(X\) is:

    Solution

    We can write the reactions according to the given question as:

    Compound \(\boldsymbol{X}\) on heating gives a colourless gas (Carbon dioxide) along with the residue (Calcium Oxide).

    \(\mathrm{CaCO}_{3} \stackrel{\Delta}{\rightarrow} \mathrm{CaO}+\mathrm{CO}_{2} \uparrow\)

    The residue (Calcium Oxide) is dissolved in water to obtain \(Y\) (Calcium Hydroxide).

    \(\mathrm{CaO}+\mathrm{H}_{2} \mathrm{O} \rightarrow \mathrm{Ca}(\mathrm{OH})_{2}\)

    Excess carbon dioxide is bubbled through an aqueous solution of \(\underline{Y}\) (Calcium Hydroxide) to form \(\mathbf{Z}\) (Calcium Bicarbonate).

    \(\mathrm{Ca}(\mathrm{OH})_{2}+2 \mathrm{CO}_{2} \stackrel{\text { Frcess }}{\longrightarrow} \mathrm{Ca}\left(\mathrm{HCO}_{3}\right)_{2}\)

    \(\mathrm{Z}\) (Calcium Bicarbonate) on gently heating gives back \(\mathrm{X}\) (Calcium Carbonate).

    \(\mathrm{Ca}\left(\mathrm{HCO}_{3}\right)_{2} \stackrel{\Delta}{\rightarrow} \mathrm{CaCO}_{3}+\mathrm{CO}_{2} \uparrow+\mathrm{H}_{2} \mathrm{O}\)

    From the above reactions, we can see that the compound:

    \(\mathrm{X}\) is \(\mathrm{CaCO}_{3}-\) Calcium carbonate

    \(\mathrm{Y}\) is \(\mathrm{Ca}(\mathrm{OH})_{2}-\) Calcium hydroxide

    \(\mathrm{Z}\) is \(\mathrm{Ca}\left(\mathrm{HCO}_{3}\right)_{2}-\) Calcium bicarbonate

  • Question 8
    4 / -1

    Identify the incorrect statement regarding heavy water:

    Solution

    \(D_{2} O\) is one of the two fundamental moderators that allow a nuclear reactor to function using natural uranium as fuel. The use of \(D_{2} O\) is significant in nuclear proliferation because it makes provision of one additional route to form plutonium that can be used in weapons, totally circumventing uranium enrichment as well as the related technical infrastructure. In addition to this, \(D_{2} O\) moderated reactors can even be utilised to make tritium. Now let us briefly discuss each given statement in the options:

    Option A: Heavy water is not used as a coolant in nuclear reactors. Rather, it is used as a moderator in nuclear reactors. It is responsible to slow down the speed of fast moving neutrons and also helps in the control of the nuclear fission process.

    Option B: Heavy water \(\left(D_{2} O\right)\) can react with aluminium carbide \(\left(A l_{4} C_{3}\right)\) in a double displacement reaction to produce \(C D_{4}\) and \(A l(O D)_{3}\) as shown below:

    \(\mathrm{Al}_{4} \mathrm{C}_{3}+12 \mathrm{D}_{2} \mathrm{O} \rightarrow 2 \mathrm{Al}(\mathrm{OD})_{3}+3 \mathrm{CD}_{4}\)

    Option C: Heavy water \(\left(D_{2} O\right)\) can react with calcium carbide \(\left(C a C_{2}\right)\) to produce deutero acetylene \(\left(C_{2} D_{2}\right)\) and calcium deuteroxide \(\left(\mathrm{Ca}(\mathrm{OD})_{2}\right)\) as shown below:

    \(\mathrm{CaC}_{2}+2 \mathrm{D}_{2} \mathrm{O} \rightarrow \mathrm{C}_{2} \mathrm{D}_{2}+\mathrm{Ca}(\mathrm{OD})_{2}\)

    Option D: Heavy water \(\left(D_{2} O\right)\) can react with \(S O_{3}\) to form deuterated sulphuric acid \(\left(D_{2} S O_{4}\right)\) as shown below:

    \(\mathrm{SO}_{3}+\mathrm{D}_{2} \mathrm{O} \rightarrow \mathrm{D}_{2} \mathrm{SO}_{4}\)

    All the statements in the options are correct except statements in the Option A.

  • Question 9
    4 / -1

    The compound insoluble in acetic acid is:

    Solution

    Calcium oxalate is insoluble in acetic acid, whereas calcium oxide, calcium carbonate and calcium hydroxide are soluble in acetic acid.

    The insolubility of calcium oxalate in acetic acid is due to its high lattice energy and low solvation energy.

    Also, the oxalic acid salts are not decomposed by acetic acid as oxalic acid is a stronger acid than acetic acid.

  • Question 10
    4 / -1

    First and second ionization energies of Magnesium are \(7.646\) and \(15.035 \mathrm{eV}\) respectively. The amount of energy in \(\mathrm{kJ}\) needed to convert all the atoms of Magnesium into \(\mathrm{Mg}^{2+}\) ions present in \(12\ \mathrm{mg}\) of Magnesium vapours is:

    (Given \(1\ \mathrm{eV}=96.5 \mathrm{~kJ} / \mathrm{mol}\))

    Solution

    It is given that first and second ionization energies of \(\mathrm{Mg}\) are \(7.646\) and \(15.035\ \mathrm{eV}\) respectively. So, after two ionization Mg converts into \(\mathrm{Mg}^{2+}\) so, the total energy required to convert the \(\mathrm{Mg}\) into \(\mathrm{Mg}^{2+}\) will be the sum of first and second ionization energy.

    So, \(7.646+15.035=22.681\ \mathrm{eV}\)

    Now, we will convert the above energy from eV into \(\mathrm{kJ}\) as follows:

    Given, \(1\ \mathrm{eV}=96.5\ \mathrm{k}/ \mathrm{mol}\)

    \(22.681\ \mathrm{eV}=2188.7 \mathrm{~kJ} / \mathrm{mol}\)

    So, the energy required to convert one mole Mg atom into \(\mathrm{Mg}^{2+}\) ions is \(96.5 \mathrm{~kJ} / \mathrm{mol}\).

    Now, we will determine the mole of Mg present in 12 mg of magnesium vapour as follows:

    First, we will convert the amount of magnesium vapour form \(\mathrm{mg}\) to gram as follows:

    \(1\ \mathrm{mg}=10^{-3} \mathrm{gram}\)

    \(12\ \mathrm{mg}=12 \times 10^{-3}\) gram

    The mole formula is as follows:

    Mole \(=\frac{\text { mass }}{\text { molar mass }}\)

    Molar mass of \(\mathrm{Mg}\) is \(24 \mathrm{~g} / \mathrm{mol}\).

    On substituting \(12 \times 10^{-3}\) gram for mass and \(24 \mathrm{~g} / \mathrm{mol}\) for molar mass,

    Mole \(=\frac{12 \times 10^{-3}}{24}\)

    Mole \(=0.5 \times 10^{-3}\)

    So, we know that the energy required to convert one mole \(\mathrm{Mg}\) atom into \(\mathrm{Mg}^{2+}\) ions is \(96.5\ \mathrm{k}/ \mathrm{mol}\) so, the energy will be required to convert the \(0.5 \times 10^{-3}\) mole is,

    One mole \(\mathrm{Mg}=96.5\ \mathrm{kJ}\)

    \(0.5 \times 10^{-3} \mathrm{~mol}=1.1 \mathrm{~kJ}\)

    So, the amount of energy in \(\mathrm{k}\), needed to convert all the atoms of magnesium into \(\mathrm{Mg}^{2+}\) ions present in \(12\ \mathrm{mg}\) of magnesium vapour is \(1.1\ \mathrm{kJ}\).

    Hence, the correct answer is 1.1.

  • Question 11
    4 / -1

    \(6.2 \mathrm{~g}\) of a sample containing \(\mathrm{Na}_{2} \mathrm{CO}_{3}, \mathrm{NaHCO}_{3}\) and non-volatile inert impurity on gentle heating loses \(5 \%\) of its weight due to reaction \(2 \mathrm{NaHCO}_{3} \longrightarrow \mathrm{Na}_{2} \mathrm{CO}_{3}+\mathrm{H}_{2} \mathrm{O}+\mathrm{CO}_{2}\). Residue is dissolved in water and formed \(100 \mathrm{~mL}\) solution and its 10 mL portion requires \(7.5 \mathrm{~mL}\) of \(0.2\ \mathrm{M}\) aqueous solution of \(\mathrm{BaCl}_{2}\) for complete precipitation of carbonates. Determine weight (in gram) of \(\mathrm{Na}_{2} \mathrm{CO}_{3}\) in the original sample.

    Solution

    Weight loss is due to conversion of \(\mathrm{NaHCO}_{3}\) to \(\mathrm{Na}_{2} \mathrm{CO}_{3}\).

    \(2 \mathrm{NaHCO}_{3} \rightarrow \mathrm{Na}_{2} \mathrm{CO}_{3}+\mathrm{CO}_{2}+\mathrm{H}_{2} \mathrm{O}\)
    \(\quad 2 \mathrm{~mol}\quad\quad\quad 1 \mathrm{~mol}\)

    \(2 \mathrm{~mol}\) of \(\mathrm{NaHCO}_{3}\) corresponds to \(2 \times 84=168 \mathrm{~g}\)

    \(1 \mathrm{~mol}\) of \(\mathrm{Na}_{2} \mathrm{CO}_{3}=106 \mathrm{~g}\)

    So, loss in weight \(=168-106=62 \mathrm{~g}\)

    or, we can say that \(31 \mathrm{~g}\) weight is lost per mole of \(\mathrm{NaHCO}_{3}\) and, \(5 \%\) of \(6.2 \mathrm{~g}\) of mixture is lost.

    i.e., \(0.3 \mathrm{~g}\) of weight loss occurs from \(\frac{0.3}{31} \mathrm{~mol}\) of \(\mathrm{NaHCO}_{3}\) producing \(\frac{0.3}{62} \mathrm{~mol}\) of \(\mathrm{Na}_{2} \mathrm{CO}_3\).

    Total moles of Carbonate \(=\) Total moles of \(\mathrm{BaCl}_{2}\)

    So, \(\mathrm{M}_{1} \times 10=0.2 \times 7.5\)

    or \(\mathrm{M}_{1}=0.15 \mathrm{M}\)

    i.e., Molarity of carbonate is \(0.15 \mathrm{M}\)

    So, moles of carbonate in \(100 \mathrm{ml}\) solution \(=\frac{0.15 \times 100}{1000}=0.015 \mathrm{~mol}\) 

    Now moles of carbonate in original sample \(=0.015-\frac{0.3}{62}=0.01\) 

    Mass of \(\mathrm{Na}_{2} \mathrm{CO}_{3}\) in original sample \(=0.01 \times 106=1.06 \mathrm{~g}\)

    Hence, the correct answer is 1.06.

  • Question 12
    4 / -1

    Which of the following has the lowest heat of hydrogenation per mole?

    Solution

    1, 3−Butadiene shows the smallest heat of hydrogenation due to its higher stability which is due to resonance.

    trans −2− Butene is more stable than cis-2- butene on the basis of the heat of hydrogenation.

    1− Butene is less stable than trans −2− butene due to hyperconjugation (shows six no bond resonating structures) 9 hyper conjugative structures, while 1− butene due to hyperconjugation shows no bond resonating structures. (Resonance is more powerful than hyper− conjugation.)

    Order of stability:

    1,3−Butadiene > trans −2−Butene > cis-2-Butene >1−Butene

    The heat of hydrogenation:

    1−Butene >cis−2− Butene >trans −2−Butene >1, 3−Butadiene

  • Question 13
    4 / -1

    Two elements \(\mathrm{A}\) and \(\mathrm{B}\) form compounds having formula \(\mathrm{AB}_{2}\) and \(\mathrm{AB}_{4} .\) When dissolved in \(20 \mathrm{~g}\) of benzene \(\left(\mathrm{C}_{6} \mathrm{H}_{6}\right), 1 \mathrm{~g}\) of \(\mathrm{AB}_{2}\) lowers the freezing point by \(2.3 K\) whereas \(1.0 \mathrm{~g}\) of \(\mathrm{AB}_{4}\) lowers it by \(1.3 \mathrm{~K}\). The molar depression constant for benzene is \(5.1 \mathrm{~K} \mathrm{~kg} \mathrm{~mol}^{-1}\). Calculate atomic masses of \(\mathrm{A}\) and \(\mathrm{B}\).

    Solution

    We know that:

    The formula, \(\mathrm{M}_{2}=\frac{1000 \mathrm{~K}_{\mathrm{f}} \times \mathrm{w}_{2}}{\Delta \mathrm{T}_{\mathrm{f}}}\)

    In case of compound \(\mathrm{AB}_{2}\) \(\mathrm{M}_{\mathrm{AB}_{2}}=\frac{\mathrm{K}_{\mathrm{I}} \mathrm{W}_{\mathrm{B}} \times 1000}{\mathrm{~W}_{\mathrm{A}} \Delta \mathrm{T}_{\mathrm{t}}}\)

    \(\Delta \mathrm{T}_{\mathrm{f}}=2.3 \mathrm{~K}, \mathrm{~W}_{\mathrm{B}}=1.0 \mathrm{~g}, \mathrm{~W}_{\mathrm{A}}=20.0 \mathrm{~g}, \mathrm{~K}_{\mathrm{f}}=5.1 \mathrm{KKg} / \mathrm{mol}\)

    \(\mathrm{M}_{\mathrm{AB}_{2}}=\frac{5.1 \times 1.0 \times 1000}{20.0 \times 2.3}=110.87 \mathrm{~g} / \mathrm{mol}\)

    In case of compound \(\mathrm{AB}_{4}\):

    \(\Delta \mathrm{T}_{\mathrm{f}}=1.3 \mathrm{~K}, \mathrm{~W}_{\mathrm{B}}=1.0 \mathrm{~g}, \mathrm{~W}_{\mathrm{A}}=20.0 \mathrm{~g}\)

    \(\mathrm{M}_{\mathrm{AB}_{4}}=\frac{5.1 \times 1.0 \times 1000}{20.0 \times 1.3}=196.15 \mathrm{~g} / \mathrm{mol}\)

    Suppose atomic masses of \(\mathrm{A}\) and \(\mathrm{B}\) are 'a' and 'b' respectively.

    Then,

    Molar mass of \(\mathrm{AB}_{2}=\mathrm{a}+2 \mathrm{~b}=110.87 \mathrm{~g} \mathrm{~mol}^{-1} \quad \quad\)  ....(i)

    Molar mass of \(\mathrm{AB}_{4}=\mathrm{a}+4 \mathrm{~b}=196.15 \mathrm{~g} \mathrm{~mol}^{-1} \quad \quad \)  ....(ii)

    Subtracting equation (ii) from equation (i), we have

    \(-2 \mathrm{~b}=-85.28\)

    Atomic mass of \(\boldsymbol{B}\) is \(\mathrm{b}=42.64 \mathrm{~g} / \mathrm{mol}\).

    Substituting the values of \(\mathrm{b}\) in equation (i), we get

    \(\mathrm{a}+2 \times 42.64=110.87\)

    Atomic mass of \(A\) is \(\mathrm{a}=25.59 \mathrm{~g} / \mathrm{mol}\).

  • Question 14
    4 / -1

    Benzene can be conveniently converted into \(\mathrm{n}-\) propyl benzene by:

    Solution

    The preparation of n-propyl benzene from benzene is as follows.

    Step-1: Friedel-craft acylation:

    The reaction of Benzene with propionyl chloride is called Friedel-craft acylation reaction. Because the acyl group is going to be added to the benzene.

    Step-2: Wolff-Kishner reduction:

    In this reaction, propionyl benzene reacts with hydrazine and forms a hydrazine derivative. This reaction is called Wolff Kishner reduction.

    Followed by Wolff-Kishner reduction, reaction with KOH, ethylene glycol forms n-propyl benzene.

    Therefore, the preparation of n-propyl benzene from benzene involves Friedel-Craft acylation with propionyl chloride followed by Wolff-Kishner reduction.

  • Question 15
    4 / -1

    Carbon tetrachloride has zero dipole moment because of ________.

    Solution

    Carbon tetrachloride molecule has zero dipole moment even though C and Cl have different electronegativities and each of the C - Cl bond is polar and has some dipole moment. This is because the individual dipole moments cancel out because of the symmetrical tetrahedral shape of the molecule.

Self Studies
User
Question Analysis
  • Correct -

  • Wrong -

  • Skipped -

My Perfomance
  • Score

    -

    out of -
  • Rank

    -

    out of -
Re-Attempt Weekly Quiz Competition
Self Studies Get latest Exam Updates
& Study Material Alerts!
No, Thanks
Self Studies
Click on Allow to receive notifications
Allow Notification
Self Studies
Self Studies Self Studies
To enable notifications follow this 2 steps:
  • First Click on Secure Icon Self Studies
  • Second click on the toggle icon
Allow Notification
Get latest Exam Updates & FREE Study Material Alerts!
Self Studies ×
Open Now