Self Studies

Physics Test 192

Result Self Studies

Physics Test 192
  • Score

    -

    out of -
  • Rank

    -

    out of -
TIME Taken - -
Self Studies

SHARING IS CARING

If our Website helped you a little, then kindly spread our voice using Social Networks. Spread our word to your readers, friends, teachers, students & all those close ones who deserve to know what you know now.

Self Studies Self Studies
Weekly Quiz Competition
  • Question 1
    4 / -1

    A body of mass 60g experiences a gravitational force of 3.0N, when placed at a particular point. The magnitude of the gravitational field intensity at that point is

    Solution

    F = mEG

    3 = 60/1000 EG

    EG = 50N / kg

     

  • Question 2
    4 / -1

    A gravitational field is present in a region and a mass is shifted from A to B through different paths as shown. If W1 W2 and W3 represent the work done by the gravitational force along the respective paths, then:

    Solution

    Gravitational force is a conservative force work done by conservative force is path independent.

    Hence, ∴ W1 = W2 = W3

     

  • Question 3
    4 / -1

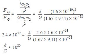
    The ratio of Coulomb's electrostatic force to the gravitational force between an electron and a proton separated by some distance is 2.4 × 1039. The ratio of the proportionality constant,  to the Gravitational constant G is nearly (Given that the charge of the proton and electron each =1.6 × 10−19C, the mass of the electron = 9.11 × 10−31kg, the mass of the proton = 1.67×10−27kg ) :

    Solution

     

  • Question 4
    4 / -1

    A particle of mass m is projected vertically upward from the surface of the Earth with a speed  v = kVe ​, where Ve is the escape velocity from Earth and 0 < k < 1. What is the maximum height above the Earth's surface reached by the particle?

    Solution

     

  • Question 5
    4 / -1

    The work done to raise a mass m from the surface of the earth to a height h, which is equal to the radius of the earth, is

    Solution

     

  • Question 6
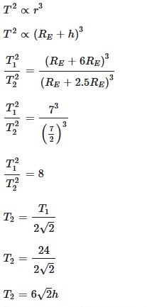
    4 / -1

    The time period of a geostationary satellite is 24 h, at a height 6RE (RE is radius of earth) from surface of earth. The time period of another satellite whose height is 2.5RE from surface will be

    Solution

    We know that square of time period is proportional to cube of the radius.

     

  • Question 7
    4 / -1

    If the mass of the Sun were ten times smaller and the universal gravitational constant were ten times larger in magnitude, which of the following is not correct?

    Solution

    ′g′ on the earth will not change.

    If universal gravitational constant become term then G′ = 10G

    Acceleration due to gravity, ,g = Gm/R2

    So, Acceleration due to gravity increases.

     

  • Question 8
    4 / -1

    Two astronauts are floating in gravitational free space after having lost contact with their spaceship. The two will

    Solution

    Since two astronauts are floating in gravitational free space. The only force acting on the two astronauts is the gravitational pull of their masses,

    F = Gm1m2,

    which is attractive in nature.

    Hence they move towards each other.

     

  • Question 9
    4 / -1

    A satellite of mass m is orbiting the earth (of radius R) at a height h from its surface. The total energy of the satellite in terms of g0, the value of acceleration due to gravity at the earth’s surface, is

    Solution

     

  • Question 10
    4 / -1

    The ratio of escape velocity at earth (ve) to the escape velocity at a planet (vp) whose radius and mean density are twice as that of earth is

    Solution

     

Self Studies
User
Question Analysis
  • Correct -

  • Wrong -

  • Skipped -

My Perfomance
  • Score

    -

    out of -
  • Rank

    -

    out of -
Re-Attempt Weekly Quiz Competition
Self Studies Get latest Exam Updates
& Study Material Alerts!
No, Thanks
Self Studies
Click on Allow to receive notifications
Allow Notification
Self Studies
Self Studies Self Studies
To enable notifications follow this 2 steps:
  • First Click on Secure Icon Self Studies
  • Second click on the toggle icon
Allow Notification
Get latest Exam Updates & FREE Study Material Alerts!
Self Studies ×
Open Now