Self Studies

Physics Test 19...

TIME LEFT -
  • Question 1
    4 / -1

    A body of mass 60g experiences a gravitational force of 3.0N, when placed at a particular point. The magnitude of the gravitational field intensity at that point is

  • Question 2
    4 / -1

    A gravitational field is present in a region and a mass is shifted from A to B through different paths as shown. If W1 W2 and W3 represent the work done by the gravitational force along the respective paths, then:

  • Question 3
    4 / -1

    The ratio of Coulomb's electrostatic force to the gravitational force between an electron and a proton separated by some distance is 2.4 × 1039. The ratio of the proportionality constant,  to the Gravitational constant G is nearly (Given that the charge of the proton and electron each =1.6 × 10−19C, the mass of the electron = 9.11 × 10−31kg, the mass of the proton = 1.67×10−27kg ) :

  • Question 4
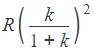
    4 / -1

    A particle of mass m is projected vertically upward from the surface of the Earth with a speed  v = kVe ​, where Ve is the escape velocity from Earth and 0 < k < 1. What is the maximum height above the Earth's surface reached by the particle?

  • Question 5
    4 / -1

    The work done to raise a mass m from the surface of the earth to a height h, which is equal to the radius of the earth, is

  • Question 6
    4 / -1

    The time period of a geostationary satellite is 24 h, at a height 6RE (RE is radius of earth) from surface of earth. The time period of another satellite whose height is 2.5RE from surface will be

  • Question 7
    4 / -1

    If the mass of the Sun were ten times smaller and the universal gravitational constant were ten times larger in magnitude, which of the following is not correct?

  • Question 8
    4 / -1

    Two astronauts are floating in gravitational free space after having lost contact with their spaceship. The two will

  • Question 9
    4 / -1

    A satellite of mass m is orbiting the earth (of radius R) at a height h from its surface. The total energy of the satellite in terms of g0, the value of acceleration due to gravity at the earth’s surface, is

  • Question 10
    4 / -1

    The ratio of escape velocity at earth (ve) to the escape velocity at a planet (vp) whose radius and mean density are twice as that of earth is

Submit Test
Self Studies
User
Question Analysis
  • Answered - 0

  • Unanswered - 10

  • 1
  • 2
  • 3
  • 4
  • 5
  • 6
  • 7
  • 8
  • 9
  • 10
Submit Test
Self Studies Get latest Exam Updates
& Study Material Alerts!
No, Thanks
Self Studies
Click on Allow to receive notifications
Allow Notification
Self Studies
Self Studies Self Studies
To enable notifications follow this 2 steps:
  • First Click on Secure Icon Self Studies
  • Second click on the toggle icon
Allow Notification
Get latest Exam Updates & FREE Study Material Alerts!
Self Studies ×
Open Now