Self Studies

Mathematics Test 267

Result Self Studies

Mathematics Test 267
  • Score

    -

    out of -
  • Rank

    -

    out of -
TIME Taken - -
Self Studies

SHARING IS CARING

If our Website helped you a little, then kindly spread our voice using Social Networks. Spread our word to your readers, friends, teachers, students & all those close ones who deserve to know what you know now.

Self Studies Self Studies
Weekly Quiz Competition
  • Question 1
    4 / -1

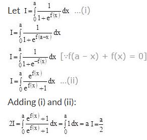
    Let f(x) be a continuous function such that f(a – x) + f(x) = 0 for all x[0,a]. Then, the value of the integral  is equal to

    Solution

     

  • Question 2
    4 / -1

    The circles which can be drawn to pass through (1,0) & (3,0) and touching the y-axis, intersect at an angle θ. The value of cos θ is equal to

    Solution

    Equation of line joining A (1,0) and B (3,0) is y = 0. Equation of family of circles passing through A and B is:

    (x – 1)(x – 3) + (y – 0) (y – 0) + λy = 0

    x2 + y2 – 4x + λy + 3 = 0

    If above circle touches y-axis then x = 0 is a tangent. Substituting x = 0:

    y2 + λy + 3 = 0

    Discriminant of above quadratic must be zero.

    λ2 – 12 = 0

     

  • Question 3
    4 / -1

    a, b, c are positive numbers and abc2 has the greatest value 1/ 64. Then

    Solution

    Also for the greatest value of abc2 the numbers have to be equal, i.e a = b = c/2

    Also given that maximum value = 1/64

    so, a + b + c = 1

    i.e. a = b = 1/4, c = 1/2

     

  • Question 4
    4 / -1

    If A and B are two square matrices such that B = –A–1 BA, then (A+B)2 is equal to

    Solution

     

  • Question 5
    4 / -1

    The set of all values of the parameter a for which the points of minimum of the function y = 1 + a2 x – xSatisfy the inequality 

    Solution

     

  • Question 6
    4 / -1

    Solution

     

  • Question 7
    4 / -1

    Solution

     

  • Question 8
    4 / -1

    If for a variable line  the condition a–2 + b–2 = c–2 (c is a constant), is satisfied, then the locus of foot of the perpendicular drawn from origin to this is:

    Solution

     

  • Question 9
    4 / -1

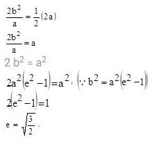
    The eccentricity of the hyperbola whose latus rectum is half of its transverse axis, is

    Solution

    Length of latus rectum of hyperbola = Length of the transverse axis

     

  • Question 10
    4 / -1

    A tangent having slope of  intersects the major and minor axes in points A and B respectively. If C is the center of the ellipse then the area of the triangle ABC is:

    Solution

     

Self Studies
User
Question Analysis
  • Correct -

  • Wrong -

  • Skipped -

My Perfomance
  • Score

    -

    out of -
  • Rank

    -

    out of -
Re-Attempt Weekly Quiz Competition
Self Studies Get latest Exam Updates
& Study Material Alerts!
No, Thanks
Self Studies
Click on Allow to receive notifications
Allow Notification
Self Studies
Self Studies Self Studies
To enable notifications follow this 2 steps:
  • First Click on Secure Icon Self Studies
  • Second click on the toggle icon
Allow Notification
Get latest Exam Updates & FREE Study Material Alerts!
Self Studies ×
Open Now