Self Studies

Logical Reasoning Test - 1

Result Self Studies

Logical Reasoning Test - 1
  • Score

    -

    out of -
  • Rank

    -

    out of -
TIME Taken - -
Self Studies

SHARING IS CARING

If our Website helped you a little, then kindly spread our voice using Social Networks. Spread our word to your readers, friends, teachers, students & all those close ones who deserve to know what you know now.

Self Studies Self Studies
Weekly Quiz Competition
  • Question 1
    1 / -0.25

    In the Constitution of India, promotion of international peace and security is included in the:

    Solution

    The Directive Principles of state policy have been included in articles 36 to 51 in Part IV of the Constitution.

    Article 51 refers to the promotion of international peace and security.

    Directive Principles of the policy are not binding, so it cannot be enforced by the court.

  • Question 2
    1 / -0.25

    Directions For Questions

    The statements below are followed by two conclusions labeled I and II. Assuming that the information in the statements is true, even if it appears to be at variance with generally established facts, decide which conclusion(s) logically and definitely follow(s) from the information given in the statements.

    ...view full instructions

    Statement:

    Some jaguars are cheetahs.

    Some cheetahs are leopards.

    All leopards are panthers.

    Conclusion:

    (I) All leopards are jaguars.

    (II) Some panthers are cheetahs.

    Solution

    The least possible Venn-diagram is:

    Conclusions:

    All leopards are jaguars: It is not a definite case, false.

    Some panthers are cheetahs: It is a definite case, true.

    Therefore, only conclusion II follows.

     

  • Question 3
    1 / -0.25

    Select the related number from the given alternatives.

    Solution

    As

    So from the above figure, it is clear that 69237 will come in the place of ?.

  • Question 4
    1 / -0.25

    If a director fails to attend three consecutive meetings, without seeking permission of the Board of Directors, then what may be the consequences in this case?

    Solution

    If a director fails to attend three consecutive meetings, without seeking permission of the Board of Directors, then he has to vacant his office.

    Section 283(1)(g) of the Companies Act, 1956 states that the office of a director shall become vacant if he remains absent from three consecutive meetings of the board of directors or from all meetings of the board for a period of three consecutive months.

  • Question 5
    1 / -0.25

    How many types of emergencies have been envisaged by the Constitution?

    Solution

    There are three types of emergencies under the Indian Constitution namely:

    • National emergency under article 352: It can be proclaimed only when the security of India or a part of it is threatened by war, external aggression or armed rebellion.
    • State Emergency under Article 356: It can be proclaimed when the government of a state cannot be carried on in accordance with the provisions of the Constitution due to reasons which may not have any connection with war, external aggression or armed rebellion.
    • Financial emergency under article 360: The president can proclaim a financial emergency if he is satisfied that a situation has arisen due to which the financial stability or credit of India or any part of its territory is threatened.
  • Question 6
    1 / -0.25

    Directions For Questions

    Study the following information carefully and answer the given question.

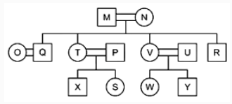
    M and his wife N have a family of three generations comprising thirteen members of whom six are female members. Some of M’s children are married and none of his grand-children are married. N has a daughter-in-law named O and two sons-in-law, one being P. Q’s brother is R, who has two nephews and two nieces-one being S. T, R’s sister has two children. O, who is sister-in-law to R has four nephews and nieces. U (male) who is married to V in the family has a daughter W and a son. X has a sister and two cousins, Y (male) and W (female).

    ...view full instructions

    Amongst the following, which one is false?

    Solution

    By the Family tree notations-

    According to the information given. We get the following family tree,

    Clearly, V has 1 niece and 1 nephew.

  • Question 7
    1 / -0.25

    Directions For Questions

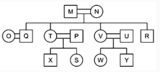
    Study the following information carefully and answer the given question.

    M and his wife N have a family of three generations comprising thirteen members of whom six are female members. Some of M’s children are married and none of his grand-children are married. N has a daughter-in-law named O and two sons-in-law, one being P. Q’s brother is R, who has two nephews and two nieces-one being S. T, R’s sister has two children. O, who is sister-in-law to R has four nephews and nieces. U (male) who is married to V in the family has a daughter W and a son. X has a sister and two cousins, Y (male) and W (female).

    ...view full instructions

    Which of the following is not a pair of brothers and sisters?

    Solution

    By the Family tree notations-

    According to the information given. We get the following family tree,

    Draw a family tree using the following notations:

    According to the information given. We get the following family tree,

    According to the information given. We get the following family tree,

    Thus, T and X is not a pair of brother and sister.

  • Question 8
    1 / -0.25

    Directions For Questions

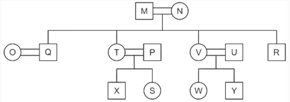
    Study the following information carefully and answer the given question.

    M and his wife N have a family of three generations comprising thirteen members of whom six are female members. Some of M’s children are married and none of his grand-children are married. N has a daughter-in-law named O and two sons-in-law, one being P. Q’s brother is R, who has two nephews and two nieces-one being S. T, R’s sister has two children. O, who is sister-in-law to R has four nephews and nieces. U (male) who is married to V in the family has a daughter W and a son. X has a sister and two cousins, Y (male) and W (female).

    ...view full instructions

    Statements:

    a. R’s son’s name is Y

    b. T is Y’s mother

    c. R and Q are brothers.

    Based on the above, which one of the following is true?

    Solution

    By the Family tree notations-

    According to the information given. We get the following family tree,

    Draw a family tree using the following notations:

    According to the information given. We get the following family tree,

    According to the information given. We get the following family tree,

    We can see that R and Q are brothers. R has no son and T is Y’s aunt.

  • Question 9
    1 / -0.25

    Select the related letters from the given alternatives.

    EAC : KGI : : HDF : ?

    Solution

    As we can see in the given figure it is clear that NJL will come in the place of ?.

  • Question 10
    1 / -0.25

    A child is looking for his father. He went 90 metres in the east before turning to his right. He went 20 metres before turning to his right again to look for his father at his uncle’s place 30 metres from this point. His father was not there. From there, he went 100 metres to his north before meeting his father in a street. How far did the son meet his father from the starting point?

    Solution

Self Studies
User
Question Analysis
  • Correct -

  • Wrong -

  • Skipped -

My Perfomance
  • Score

    -

    out of -
  • Rank

    -

    out of -
Re-Attempt Weekly Quiz Competition
Self Studies Get latest Exam Updates
& Study Material Alerts!
No, Thanks
Self Studies
Click on Allow to receive notifications
Allow Notification
Self Studies
Self Studies Self Studies
To enable notifications follow this 2 steps:
  • First Click on Secure Icon Self Studies
  • Second click on the toggle icon
Allow Notification
Get latest Exam Updates & FREE Study Material Alerts!
Self Studies ×
Open Now