Self Studies

Mathematics Test - 33

Result Self Studies

Mathematics Test - 33
  • Score

    -

    out of -
  • Rank

    -

    out of -
TIME Taken - -
Self Studies
Weekly Quiz Competition
  • Question 1
    3 / -1

    The diagonals of a parallelogram PQRS are along the lines x + 3y = 4 and 6x - 2y = 7. Then PQRS must be a

    Solution

    The slope of the first line: - 1/3

    Slope of second line is: 3

    Hence the diagonals are perpendicular, which is the property of a Rhombus.

  • Question 2
    3 / -1

    Solution

  • Question 3
    3 / -1

    Find the period of the given function:

    f(x) = tan(x/3) + sin(2x)

    Solution

    Given, f(x) = tan(x/3) + sin(2x).

    Here, tan(x/3) is periodic with period 3π and sin2x is periodic with period π.
    Hence, f(x) will be periodic with period 3π.

  • Question 4
    3 / -1

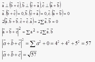
    Solution

  • Question 5
    3 / -1

    In a triangle XYZ, tan X = 2 and tan Y = 4. Then, what is the value of tan Z?

    Solution

    Given,

    tan X = 2; tan Y = 4, tan Z =?

    As we know that,

    If XYZ is triangle, then, X + Y + Z = 180°

    Then, tan X + tan Y + tan Z = tan X tan Y tan Z

    So,

    2 + 4 + tan Z = 2 × 4 × tan Z

    ⇒ 6 + tan Z = 8tanZ

    ⇒ 7tan Z = 6

    ⇒ tan Z =67

  • Question 6
    3 / -1

    Solution

  • Question 7
    3 / -1

    The number of arbitrary constants in the solution of a differential equation of degree 2 and order 3 is

    Solution

    Note: The number of arbitrary constants in a solution of a differential equation of order n is equal to its order.

    Order of differential equation = Number of arbitrary constants = 3

  • Question 8
    3 / -1

    If the vertices P, Q, R of a triangle PQR are rational points, then which of the following points of the triangle PQR is not always a rational point?

    Solution

    Incentre of is notΔPQR always a rational point.

  • Question 9
    3 / -1

    The number of values of k for which the system of equations (k + 1) x + 8y = 4k and

    kx + (k + 3)y = 3k - 1 has infinitely many solutions is

    Solution

  • Question 10
    3 / -1

    Solution

Self Studies
User
Question Analysis
  • Correct -

  • Wrong -

  • Skipped -

My Perfomance
  • Score

    -

    out of -
  • Rank

    -

    out of -
Re-Attempt Weekly Quiz Competition
Self Studies Get latest Exam Updates
& Study Material Alerts!
No, Thanks
Self Studies
Click on Allow to receive notifications
Allow Notification
Self Studies
Self Studies Self Studies
To enable notifications follow this 2 steps:
  • First Click on Secure Icon Self Studies
  • Second click on the toggle icon
Allow Notification
Get latest Exam Updates & FREE Study Material Alerts!
Self Studies ×
Open Now