Self Studies

Mathematics Tes...

TIME LEFT -
  • Question 1
    3 / -1

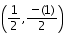
    The orthocenter of the triangle with vertices

  • Question 2
    3 / -1

  • Question 3
    3 / -1

    The order of a differential equation whose solution is y = a cos x + b sin x, where a and b are arbitrary constants, is

  • Question 4
    3 / -1

  • Question 5
    3 / -1

    Directions: Refer to the following functions:

    A(x, y, z) = Max {max (x, y), min (y, z), min (x, z)}

    B(x, y, z) = Max {max (x, y), min (y, z), max (x, z)}

    C(x, y, z) = Max {min (x, y), min (y, z), min (x, z)}

    D(x, y, z) = Min {max (x, y), max (y, z), max (x, z)}

    Max (x, y, z) = Maximum of x, y and z.

    Min (x, y, z) = Minimum of x, y and z.

    Assume x, y and z as distinct integers.

    For what condition, will A(x, y, z) be equal to Max (x, y, z)?

  • Question 6
    3 / -1

  • Question 7
    3 / -1

    The eccentricity of an ellipse with its centre at the origin is 1/2. If one of the directrix is x = 4, then the equation of the ellipse is

  • Question 8
    3 / -1

    The greatest value of λ ≥ 0 for which both the equations 2x2 + ( λ − 1)x + 8 = 0 and x2 − 8x + λ + 4 = 0 have real roots is

  • Question 9
    3 / -1

  • Question 10
    3 / -1

    In a triangle, the lengths of the two larger sides are 10 cm and 9 cm respectively. If the angles of the triangle are in A.P, then the length of the third side (in cm) can be

Submit Test
Self Studies
User
Question Analysis
  • Answered - 0

  • Unanswered - 10

  • 1
  • 2
  • 3
  • 4
  • 5
  • 6
  • 7
  • 8
  • 9
  • 10
Submit Test
Self Studies Get latest Exam Updates
& Study Material Alerts!
No, Thanks
Self Studies
Click on Allow to receive notifications
Allow Notification
Self Studies
Self Studies Self Studies
To enable notifications follow this 2 steps:
  • First Click on Secure Icon Self Studies
  • Second click on the toggle icon
Allow Notification
Get latest Exam Updates & FREE Study Material Alerts!
Self Studies ×
Open Now