Self Studies

General Aptitude Test 1

Result Self Studies

General Aptitude Test 1
  • Score

    -

    out of -
  • Rank

    -

    out of -
TIME Taken - -
Self Studies
Weekly Quiz Competition
  • Question 1
    2 / -0.33

    When people smoke, their health ______

    The word that best fills the blank is-

    Solution

    The correct answer is option 2 i.e. suffers.

    Explanation      

    The given sentence is a zero conditional sentence. 

    • In the case of zero conditional sentences, we use the simple present tense in both the clauses.
    • The only option in which the verb is in the simple present tense is option 2 i.e. 'suffers'
  • Question 2
    2 / -0.33

    This story is not ______.

    The word that best fills the blank is-

    Solution

    The correct answer is option 3 i.e. good enough.

    Explanation 

    • When 'enough' is used with an adjective, the adjective comes before 'enough'.
    • The use of 'as' will be incorrect in this sentence.
    • Hence, only option 3 is correct.
  • Question 3
    2 / -0.33

    Baby: adult:: sapling: ______

    Solution

    The correct answer is option 2 i.e. tree.

    Explanation   

    Let us find the relation between the first two words-

    • A baby grows into an 'adult'.
    • Now, we need to find a word which is related in a similar way to 'sapling'. A sapling is a young tree.
    • Clearly, 'tree' is correct as 'a sapling grows into a tree'.
  • Question 4
    2 / -0.33

    Which of the following pair can be used to make a meaningful sentence given below?

    If there is nothing to absorb the energy of sound, they travel on ________, but their intensity _______ as they travel away from their source.
    Solution
    The presence of ‘but’ indicates something to the contrary. If the sound waves are not absorbed means they will continue to travel indefinitely BUT their intensity diminishes (decreases) because of interaction with atmospheric particles and other factors.
  • Question 5
    2 / -0.33

    Choose the most appropriate pair of words from the options given below to complete the following.

    In the book, he _________ Hollywood's recent films and ________ them with several independent films.

    Solution

    Apprise: inform or tellAppraise: evaluate, judge the quality ofContrast: compareContract (verb): shrink

    The usage of 'apprises' in the first blank will render the sentence redundant as what is being informed/ told has not been mentioned. However, 'appraises' fits perfectly in the blank space. Similarly, the usage of 'contracts' in the second blank will also render the sentence meaningless as recent films cannot be shrunk with independent films. The writer may compare the former with the latter. Thus option 4 has the appropriate pair of words.

  • Question 6
    2 / -0.33

    “The fruits you bought today are ________ and juicier ________ the ones you bought yesterday.”

    Solution

    Since the sentence is comparing fruits bought today and yesterday, the comparative degree of the adjectives must be used. The comparative degree uses the word ‘than’ to separate the two entities being compared.

    The comparative degree of ‘fresh’ is ‘fresher’.

    Thus, option 3 is the correct answer.

  • Question 7
    2 / -0.33
    \(\frac{{\log x}}{{\ell + m - 2n}} = \frac{{\log y}}{{m + n - 2\ell }} = \frac{{\log z}}{{n + \ell - 2m}}\) find x2y2z2
    Solution

    Explanation:

    All ratios are equal as given in the question.

    Let’s assume that they are equal to k

    Now,

    log x = k(l + m – 2n)

    log y = k (m + n – 2l)

    log z = k(n + l – 2m)

    Now,

    log xyz = k(l + m – 2n + m + n – 2l + n + l – 2m)

    log xyz = k(2l – 2l + 2n – 2n + 2m – 2m)

    log xyz = k(0)

    xyz = e0

    ∴ xyz = 1

    ∴ x2y2z2 = 1
  • Question 8
    2 / -0.33
    Two cars start from the same  point at the same time. The first car travels at a constant speed of 12 km/h while the second car travels at an initial speed of 6 km/h, which increases by 1 km/h every hour. What will be the distance traveled by the second car by the time it meets the first car?
    Solution

    Explanation:

    Let the cars meet up after x hours (i.e.) distances travelled are the same because they are starting from the same point.

    \(12x = \left[ {2 \times 6 + \left( {x - 1} \right)} \right] \times \frac{x}{2}\)

    12 + x – 1 = 24

    x = 13

    ∴ Distance travelled = 12x = 12 × 13

    ∴ Distance travelled = 156
  • Question 9
    2 / -0.33
    Find the positive value of \(\sqrt {156 + \sqrt {156 + \sqrt {156 + \ldots } } } \)
    Solution

    Explanation:

    Let \(x = \sqrt {156 + \sqrt {156 + \ldots \infty } } \) 

    x2 = 156 + x ⇒ x2 – x – 156 = 0

    x2 – 13x + 12x – 156 = 0

    x(x – 13) + 12(x - 13) = 0

    (x + 12)(x - 13) = 0

    ∴ x = -12 and 13

    As it has been asked about the positive value the answer will be 13
  • Question 10
    2 / -0.33

    . If x + 2y = 30, then  \((\frac{2y}{5} + \frac{x}{3}) +(\frac{x}{5} + \frac{2y}{3})\) will be equal 

    Solution

    Data:

    x + 2y = 30  (1)

    Find

    \((\frac{2y}{5} + \frac{x}{3}) +(\frac{x}{5} + \frac{2y}{3})\)

    Calculation:

    Let y = 0 and x = 30

    Since it satisfies equation (1)

    Hence

    \((\frac{2y}{5} + \frac{x}{3}) +(\frac{x}{5} + \frac{2y}{3})\)

    \(= (\frac{2\times 0}{5} + \frac{30}{3}) +(\frac{30}{5} + \frac{2\times 0}{3})\)

    = 0 + 10 + 6 + 0 = 16

    . If x + 2y = 30, then  \((\frac{2y}{5} + \frac{x}{3}) +(\frac{x}{5} + \frac{2y}{3})\) will be equal  is 16

  • Question 11
    2 / -0.33

    Assuming that the population growth trend given in the table will continue, the population (in persons) for the year 2031 will be

    S. No.

    Year

    Population (in persons)

    1

    1981

    1,30,440

    2

    1991

    1,69,572

    3

    2001

    2,20,444

    4

    2011

    2,86,577

    Solution

    S. No.

    Year

    Population (in persons)

    1

    1981

    1,30,440

    2

    1991

    1,30,440 × 1.3 = 1,69,572

    3

    2001

    1,69,572 × 1.3 =

    2,20,444

    4

    2011

    2,20,444 × 1.3 =

    2,86,577

    5

    2021

    2,86,577 × 1.3 =

    3,72,550

    6

    2031

    3,72,550 × 1.3 =

    4,84,315

  • Question 12
    2 / -0.33

    Bird : Nest :: Bee : ________

    Select the correct option to complete the analogy.

    Solution

    Let's break down the analogy:

    A bird builds and lives in a nest.

    Similarly, bees live in a specialized structure called a hive.

    Thus:

    Bird : Nest :: Bee : HiveBird : Nest :: Bee : Hive

    The correct answer is: Option C - Hive.

  • Question 13
    2 / -0.33

    Consider the following sentences-

    All reds are greens. No green is blue. Some blues are purples.

    Which of these can be inferred?

    (i) Some greens are purples.

    (ii) All reds are blues.

    Solution

    The correct answer is option 4 i.e. neither (i) nor (ii).

    Explanation    

    • For statement (i), we need to find a direct link between green and purple which is possible through the connection with blue.
    • Clearly, 'no green is blue' and 'some blues are purples'. Therefore statement (i) cannot be inferred.
    • For statement (ii), we need to find a direct link between red and blue which is possible through the connection with green.
    • Clearly, all reds are green but no green is blue. This means that no red is blue.

    Clearly, none of the statements can be inferred.

  • Question 14
    2 / -0.33

    'Seven years war' took place from 1754-1763, this was between the British and the French. Once the war had ended, the British where in debt, Because of the British being in debt, the British started demanding more from the American Colonies. To do this the British started passing acts. As well as making rules to gain more power. The first thing was the Royal Proclamation.

    Which one of the following sequences shows the correct precedence as per the given passage?

    Solution

    The correct answer is option 4.

    Explanation      

    • The first event that occurred was the 'seven years war' which was a war between the British and the French.
    • Following this, the Britishers were in debt.
    • Due to this reason, the British demanded more from the American colonies.
    • Last event was 'the Royal Proclamation'.
  • Question 15
    2 / -0.33

    A growing world population has caused growing concerns about increasing famine. The population in 2000 was 6 billion. Ten years later the population was 7 billion. There were also more people affected by famines in 2010 than in 2000. Furthermore, in each year from 2000 to 2010, when the world's population increased, so did the number of those affected by famine.

    Based on the information given, which of the following is true?

    Solution
    • The number affected by famine always increases with the population. Therefore, if the population increased in 2005, then the number of those affected by famine also increased.
    • If there was an increase in 2005, there must have been more people affected in that year than the previous year of 2004.
    • The available information does not allow us to draw any of the other inferences.
    • The number of those affected by famine could increase without a corresponding percentage of the population increase.
    • Neither can we draw inferences about any particular year between 2000 and 2010.

    Note:

    Option 2 cannot be correct because considering the case where in 2000 the population is 100, and people affected are 50 in 2001 the population grew to say 200, and people affected is 100.

    So in both cases,the percentage of people affected is 50% but the number of people affected grew.

  • Question 16
    2 / -0.33

    Read the following passage and find out the inference stated through passage.

    Juvenile delinquency is also termed as Teenage Crime. Basically, juvenile delinquency refers to the crimes committed by minors. These crimes are committed by teenagers without any prior knowledge of how it affects the society. These kind of crimes are committed when children do not know much about outside world.

    Which of the following Inferences is correct with respect to above passage? 

    Solution
    Since teenagers here have tender age and commit crimes unknown to its consequences, clearly they should not be treated as any criminal. They need to be taught so that they can make difference between right and wrong and do not commit these crimes in future. Hence inference in option 1 is correct.
  • Question 17
    2 / -0.33

    A rectangular store room having dimensions 15 m × 12 m × 8 m is constructed having a ditch in the centre of size 3 m × 2 m . The total number of cuboidal boxes of chocolate having dimensions of 1 m × 1 m × 0.5 m that can be effectively placed in the room is___

    Solution

    Calculation:

    Effective plan area of the room = {(15 m × 12 m) – (3 m × 2 m)}

    Total volume of the room neglecting the area of ditch = {(15 m × 12 m) – (3 m × 2 m)} × 8 m = 1392 m3

    Total volume of one box of chocolate = 1 m × 1 m × 0.5 m = 0.5 m3

    ∴ Total number of boxes that can be kept in the room = \(% MathType!MTEF!2!1!+-% feaagKart1ev2aqatCvAUfeBSjuyZL2yd9gzLbvyNv2CaerbuLwBLn% hiov2DGi1BTfMBaeXatLxBI9gBaerbd9wDYLwzYbItLDharqqtubsr% 4rNCHbGeaGqiVu0Je9sqqrpepC0xbbL8F4rqqrFfpeea0xe9Lq-Jc9% vqaqpepm0xbba9pwe9Q8fs0-yqaqpepae9pg0FirpepeKkFr0xfr-x% fr-xb9adbaqaaeGaciGaaiaabeqaamaabaabaaGcbaaeaaaaaaaaa8% qadaWcaaWdaeaapeGaaGymaiaaiodacaaI5aGaaGOmaaWdaeaapeGa% aGimaiaac6cacaaI1aaaaaaa!3B87!\frac{{1392}}{{0.5}}\) = 2784 boxes.
  • Question 18
    2 / -0.33
    When the sum of all possible two digit numbers formed from three different one digit natural numbers are divided by sum of the original three numbers, the result is:
    Solution

    Consider three different one-digit natural numbers as x, y and z

    Now, different two-digit number possible with these one digit numbers are:

    1)10x + y

    2)10y + x

    3) 10x + z

    4) 10z + x

    5) 10y + z

    6) 10z + y

    Sum of all these two-digit numbers = (10x + y) + (10y + x) + (10x + z) + (10z + x) + (10y + z) + (10z + y)

    = 10x + y + 10y + x + 10x + z + 10z + x + 10y+ z + 10z + y

    = 20x + 20 y + 20 z + 2x + 2y + 2z

    = 20 (x + y + z) + 2 (x + y + z)

    = 22(x + y + z)

    Now divide this with sum of one-digit numbers, that is, x, y and z

    \({\rm{Result}} = \frac{{22\left( {{\rm{x}} + {\rm{y}} + {\rm{x}}} \right)}}{{{\rm{x}} + {\rm{y}} + {\rm{z}}}} = 22\)

  • Question 19
    2 / -0.33
    A small production unit now works 6 days per week with 3 ½ hours of first shift every one of the 6 days and 3 hours of second shift for each of the first 5 days. Wage negotiations led to an agreement to work on 5 days a week with both shifts together clocking 7 ½ hours per day with an 8% increase in weekly wages. How much change in the hourly production would mean parity in the agreement for both management and employees?
    Solution

    Initial working hours = (6 × 3.5) + (5 × 3) = 36 hours

    Let hourly wages are of Rs. 1 and the production in one hour is 1 unit.

    Total money they are getting initially = Rs. 36

    Total initial production = 36 units

    New Policy:

    Now for new policy salary increment in weekly wages is of 8%

    Total money they are getting = 36 × 0.08 = Rs. 38.88

    Total working hours = 7.5 × 5 = Rs. 37.5

    As per old policy management has to pay = 37.5 × 1 = Rs. 37.5

    But they are paying 38.88

    As per old policy, the production in 37.5 hours = 37.5 units

    But they are paying Rs.38.88. So, the expected production = 38.88 units

    The change in the hourly production would mean parity in the agreement for both management and employees \( = \frac{{38.88 - 37.5}}{{37.5}} \times 100 = 3.68\% \)
  • Question 20
    2 / -0.33

    A prism has a regular hexagonal base whose side is 12 cm. The height of the prism is 24 cm. It is cut into 4 equal parts by 2 perpendicular cuts as shown in figure. What is the sum of the total surface area of the four parts?

    Solution

    By cutting the prism, the extra surfaces created are two rectangles on each plane of cutting

    Initial surface area = 2 × Area of hexagon + 6 × Area of rectangles

    ⇒ 2 × (3√3a2) /2 + 6 × a × h [a = side of hexagon and b = Height]

    ⇒ 432√3 + 1728

    The extra surface created = 2 × Area of the rectangle with the line joining the opposite vertices as base + 2 × Area of the rectangle with line cutting the opposite sides into half

    ⇒ 2 × 2a × h + 2 × √3a × h

    [Length of the line joining opposite vertices = 2a and Length of line cutting opposite sides into half = √3a]

    ⇒ 1152 + 576√3

    Total surface area = 432√2 + 1728 + 1152 + 576√3 = 2880 + 1008√3

  • Question 21
    2 / -0.33
    Given the following four functions f1(n) = n100, f2(n) = (1.2)n, f3(n) = 2n/2, f4(n) = 3n/3 which function will have the largest value for sufficiently large values of n (i.e. n → ∞)?
    Solution

    Differentiation gives the rate of change of a function.

    f1(n) = n100, f2(n) = (1.2)n

    By differentiating with respect to n, 100 times, we will get a constant number, 100!, for n100 but for 1.2n we will get n (n – 1)(n – 2) … (n – 99) 1.2(n – 100) which is ever increasing with n.

    So, f2(n) is greater than f1(n).

    f2(n) = (1.2)n

    f3(n) = 2n/2 = (√2)n = (1.414)n

    f4(n) = 3n/3 = \({\left( {\sqrt[3]{3}} \right)^n}\) = (1.44)n

    Now, it is clear that f4(n) has the largest value for sufficiently large values of n.
  • Question 22
    2 / -0.33

    According to the map shown in the figure, which one of the following statements is correct?

    Note: The figure shown is representative.

    Solution

    Given : Map is shown below.

    From option (A) :

    From the above map, the library is located to west of the canteen.

    Hence, option (A) is not correct.

    From option (B) :

    From the above map, the hospital is located to north of the chemistry lab.

    Hence option (B) is not correct.

    From option (C) :

    From the above map, the chemistry lab is to the south east of physical lab.

    Hence, option (C) is correct.

    From option (D) :

    From the above map, the classroom is located south west of canteen.

    Hence option (D) is not correct.

  • Question 23
    2 / -0.33

    A population of 2500 persons requires a minimum area of 3000 m2 for primary schools. For the population in four different sectors given in the table below, the Sector having maximum shortage of school area per person is _______

    Sector

    Population

    Number of existing schools

    Existing area of each school (m2)

    1

    20000

    5

    2000

    2

    15000

    4

    4500

    3

    12500

    2

    2500

    4

    10000

    4

    1500

    Solution

    A population of 2500 persons requires a minimum area of 3000 m2 for primary schools.

    Minimum area required for one person = 3000/2500 = 1.2 m2

    Sector

    Population

    Number of existing schools

    Existing area of each

    school (m2)

    Total area of schools in the sector

    Area available for one person

    (m2)

    Shortage of area

    (m2)

    1

    20000

    5

    2000

    5 × 2000 = 10000

    10000/20000 = 0.5

    1.2 – 0.5 = 0.7

    2

    15000

    4

    4500

    4 × 4500 = 18000

    18000/15000 = 1.2

    1.2 – 1.2 = 0

    3

    12500

    2

    2500

    2 × 2500 = 5000

    5000/12500 = 0.4

    1.2 – 0.4 = 0.8

    4

    10000

    4

    1500

    4 × 1500 = 6000

    6000/10000 = 0.6

    1.2 – 0.6 = 0.6

     

    From the above table, it is clear that Sector 3 is having maximum shortage of school area per person.

  • Question 24
    2 / -0.33

    Pen : Write :: Knife : ______

    Which one of the following options maintains a similar logical relation in the above?

    Solution

    The answer is Option B: Cut.

    Here's why:

    Pen : Write - A pen is a tool used for the action of writing.

    Knife : Cut - A knife is a tool used for the action of cutting.

    The relationship is that of a tool and its primary function.

    Let's analyze the other options:

    Option A: Sharp - While knives are often sharp, sharpness is a characteristic, not the primary function.

    Option C: Vegetables - Vegetables are a common thing knives are used to cut, but not the function itself.

    Option D: Blunt - Blunt is the opposite of sharp, and while some knives can be blunt, it doesn't represent the primary function.

  • Question 25
    2 / -0.33

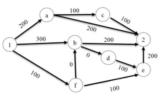
    There are multiple routes to reach from node 1 to node 2, as shown in the network.

    The cost of travel on an edge between two nodes is given in rupees. Nodes ‘a’, ‘b’, ‘c’, ‘d’, ‘e’, and ‘f’ are toll booths. The toll price at toll booths marked ‘a’ and ‘e’ is Rs.200, and is Rs.100 for the other toll booths. Which is the cheapest route from node 1 to node 2?

    Solution

    Given :

Self Studies
User
Question Analysis
  • Correct -

  • Wrong -

  • Skipped -

My Perfomance
  • Score

    -

    out of -
  • Rank

    -

    out of -
Re-Attempt Weekly Quiz Competition
Self Studies Get latest Exam Updates
& Study Material Alerts!
No, Thanks
Self Studies
Click on Allow to receive notifications
Allow Notification
Self Studies
Self Studies Self Studies
To enable notifications follow this 2 steps:
  • First Click on Secure Icon Self Studies
  • Second click on the toggle icon
Allow Notification
Get latest Exam Updates & FREE Study Material Alerts!
Self Studies ×
Open Now