Self Studies

Chemistry Test 282

Result Self Studies

Chemistry Test 282
  • Score

    -

    out of -
  • Rank

    -

    out of -
TIME Taken - -
Self Studies
Weekly Quiz Competition
  • Question 1
    4 / -1

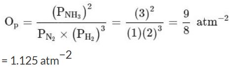
    A reaction mixture containing H2, N2 and NH3 has partial pressures 2 atm,1 atm and 3 atm respectively at 725 K. If the value of Kp for the reaction, N2(g) + 3H2(g) ⇌ 2NH3(g) is 4.28 × 10−5 atm−2 at 725 K, in which direction the net reaction will go ?

    Solution

    Since value of Qp is larger than Kp (4.28 × 10−5 atm−2), it indicates net reaction will proceed in backward direction.

     

  • Question 2
    4 / -1

    If SO2 content in the atmosphere is 0.12ppm by volume, pH of rain water is (assume 100% ionisation of acid rain as monobasic acid)

    Solution

     

  • Question 3
    4 / -1

    Directions For Questions

    Consider the following reaction

    ...view full instructions

    Which of the following statements are correct ?

    a. I is the major product of the reaction

    b. II is the major product of the reaction

    c. Formation of I is in accordance with Saytzeff's rule

    d. II is more stable because it is more substituted

    Solution

     

  • Question 4
    4 / -1

    Which of the following statements are correct?

    1. Electron density in xy plane in 3dx2-y2 orbital is zero.

    2. Electron density in xy plane in 3dz2 orbital is zero.

    3. 2s orbital has only one spherical node in it.

    4. For 2px orbital yz is the nodal plane.

    Solution

    The four lobes of dx2-y2 orbital are lying along x and y axes, so, density in XY plane can't be zero. 

    The two lobes of dz2 orbital are lying along z axis, and contain a ring of negative charge surrounding the nucleus in xy plane. So, the density in XY plane is non-zero.

    2s orbitals have one spherical node, where the electron density is zero.

    In 2px orbital, both the lobes lie along x axis. Hence,the density in yz plane is zero, thus it is the nodal plane.

     

  • Question 5
    4 / -1

    Assertion (A): Mg2+ and Al3+ are isoelectronic but the magnitude of ionic radius of Al3+ is less than that in Mg2+.

    Reason (R): The effective nuclear charge on the outermost electrons in Al3+ is greater than that in Mg2+.

    The correct option among the following is

    Solution

    Higher the electrostatic attraction between nucleus and valence electron, smaller will be the size of the atom/ion.

    Electrostatic attraction is given by Zeff = Z−S where, Z= the number of protons in the nucleus of an atom or ion (the atomic number) and S= shielding from core electrons.

    In case of Al3+ and Mg2+, they are isoelectronic species and thus have same number of electrons as 1s2,2s2,2p6 isoelectric series of atoms and ions with different numbers of protons (and thus different nuclear attraction, gives) the relative ionic sizes of each atom or ion with respect to atomic number.

    Atomic number, ZAl = 13 and ZMg = 12.

    Thus, Al3+ has lower ionic radii than Mg2+ due to higher nuclear charge.

    Hence, A is true, R is true and R is the correct explanation for A.

     

  • Question 6
    4 / -1

    Electromagnetic radiations having λ = 310 Å are subjected to a metal sheet having work function = 12.8 eV. What will be the velocity of photoelectrons with maximum Kinetic energy.

    Solution

     

  • Question 7
    4 / -1

    Azide ion [N3-] exhibits an (N−N) bond order of 2 and may be represented by the resonance structures I,II and III given below:

    The most stable resonance structure is

    Solution

    The structure with more delocalization and more charge separation is the most stable.

    Structure I:
    Formal charges: Left = -1, Middle = +1, Right = -1

    Structure II:
    Formal charges: Left = -2, Middle = +1, Right = 0

    Structure III:
    Formal charges: Left = 0, Middle = +1, Right = -2

    Conclusion:

    Structure I has more delocalization and charge separation, making it the most stable.

    Structures II and III have equal stability.

     

  • Question 8
    4 / -1

    C—Cl bond in  (vinyl chloride) is stabilised in the same way as in

    Solution

    Due to delocalisation of π-electrons, (C—Cl) bond is stable and it does not show SN reactions; Cl directly attached (C=C) bond, i.e. vinyl group.

     

  • Question 9
    4 / -1

    Directions For Questions

    The following equations are balanced atomwise and chargewise.

    (i) Cr2O72- + 8H+ + 3H2O2 → 2Cr3+ + 7H2O + 3O2

    (ii) Cr2O72- + 8H+ + 5H2O2→ 2Cr3+ + 9H2O + 4O2

    (iii) Cr2O72- + 8H+ + 7H2O2→ 2Cr+ + 11H2O + 5O2

    ...view full instructions

    The precise  equations representing the oxidation of H2O2 is/are

    Solution

    The reactions are as follows:

    6e+ 14H+ Cr2O72−→2Cr3+ + 7H2O

    3H2O→ 3O+ 6H+ 6e

    Cr2O72−+ 8H+ 3H2O→ 2Cr3+ + 7H2O + 3O2

    Therefore, only (i) is correct.

     

  • Question 10
    4 / -1

    In the general electronic configuration -

    (n - 2)f1-14 (n - 1)d0-1 ns2, if value of n = 7 the configuration will be -

    Solution

    The correct answer is Option B.

    General electronic configuration is given:

    (n − 2)f1-14(n − 1)d01ns2 , where(n=7)

    5f1-146d017s2

    The seventh period (n=7) is similar to the sixth period with the successive filling up of the 7s, 5f, 6d and 7p orbitals and includes most of the man-made radioactive elements. This period will end at the element with atomic number 118 which would belong to the noble gas family. Filling up of the 5f orbitals after actinium (Z=89) gives the 5f-inner transition series known as the Actinide Series.

     

Self Studies
User
Question Analysis
  • Correct -

  • Wrong -

  • Skipped -

My Perfomance
  • Score

    -

    out of -
  • Rank

    -

    out of -
Re-Attempt Weekly Quiz Competition
Self Studies Get latest Exam Updates
& Study Material Alerts!
No, Thanks
Self Studies
Click on Allow to receive notifications
Allow Notification
Self Studies
Self Studies Self Studies
To enable notifications follow this 2 steps:
  • First Click on Secure Icon Self Studies
  • Second click on the toggle icon
Allow Notification
Get latest Exam Updates & FREE Study Material Alerts!
Self Studies ×
Open Now