Self Studies

JEE Advanced Mix Test 67

Result Self Studies

JEE Advanced Mix Test 67
  • Score

    -

    out of -
  • Rank

    -

    out of -
TIME Taken - -
Self Studies
Weekly Quiz Competition
  • Question 1
    4 / -1

    For a thermodynamic system, the pressure, volume and temperature are related as  where is a positive constant. The work done for this system in a constant pressure process, if the temperature changes from To to 2To, is

    Solution

     

  • Question 2
    4 / -1

    One mole of a perfect gas expands isothermally to ten times its original volume.The change in entropy is :

    Solution

     

  • Question 3
    4 / -1

    Fe2+ and Fe3+ can be distinguished by :

    Solution

     

  • Question 4
    4 / -1

    Which of the following is the correct order of stability of the given compounds?

    Solution

     

  • Question 5
    4 / -1

    When chlorine water is added to an aqueous solution of sodium halide in the presence of chloroform, a violet colouration is obtained. When more of chlorine water is added, the violet colour disappears and solution becomes colourless. This confirms that sodium halide is :

    Solution

     

  • Question 6
    4 / -1

    During the dehydration of alcohols, the hydrogen is removed from the carbon atom having a lesser number of hydrogen atoms to yield the most stable alkene as a major product. Identify the most stable alkene formed during the following conversion:

    Solution

    The reaction proceeds through the formation of a carbocation intermediate, which re-arranges by a hydride shift followed by ring expansion in order to reduce the Bayer strain.

    Thus, the major product formed is 1,2-dimethyl cyclohexene.

     

  • Question 7
    4 / -1

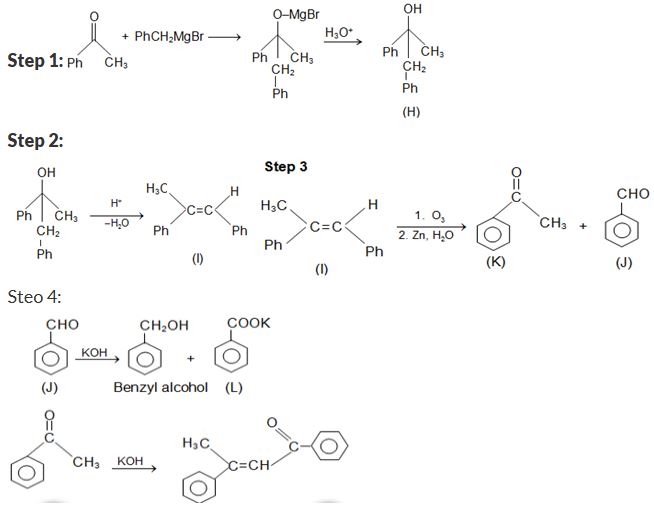
    A tertiary alcohol H upon acid catalysed dehydration gives a product I. Ozonolysis of I leads to compounds J and K. Compound J upon reaction with KOH gives benzyl alcohol and a compound L, whereas K on reaction with KOH gives only M.

    Compound H is formed by the reaction of

    Solution

     

  • Question 8
    4 / -1

    If f(x) = x tan-1x, find f'(1) from first principle.

    Solution

     

  • Question 9
    4 / -1

    Solution

     

  • Question 10
    4 / -1

    Solution

     

Self Studies
User
Question Analysis
  • Correct -

  • Wrong -

  • Skipped -

My Perfomance
  • Score

    -

    out of -
  • Rank

    -

    out of -
Re-Attempt Weekly Quiz Competition
Self Studies Get latest Exam Updates
& Study Material Alerts!
No, Thanks
Self Studies
Click on Allow to receive notifications
Allow Notification
Self Studies
Self Studies Self Studies
To enable notifications follow this 2 steps:
  • First Click on Secure Icon Self Studies
  • Second click on the toggle icon
Allow Notification
Get latest Exam Updates & FREE Study Material Alerts!
Self Studies ×
Open Now