Self Studies

JEE Advanced Mi...

TIME LEFT -
  • Question 1
    4 / -1

    In the circuit shown C1 = 2C2. Switch S is closed at time t = 0. Let i1 & ibe the current flowing through Cand C2 at any time t, then the ratio I1/I2

  • Question 2
    4 / -1

    The capacitor of an oscillatory circuit of frequency 104Hz is enclosed in a container. When the container is evacuated, the frequency changes by 50 Hz, the dielectric constant of the gas is

  • Question 3
    4 / -1

    A current carrying wire is placed in the grooves of an insulating semicircular disc of radius ‘R’ as shown. The current enters atpoint A and leaves point B. Determine the magnetic field at point D.

  • Question 4
    4 / -1

    The organ pipes, both closed at one end, have lengths ℓ and ( ℓ + Δ ℓ) vibrates in fundamental mode. Neglect end correction. If the velocity of sound in air is v, then the number of beats/sec is (assume Δ ℓ << ℓ)

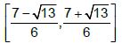
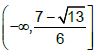
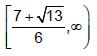
  • Question 5
    4 / -1

  • Question 6
    4 / -1

    Which one of the following reaction is not possible:-

  • Question 7
    4 / -1

    (I) Co(CO)6

    (II) Co(CO)5NH3

    (III) Co(CO)4(NH3)2

    (IV) Co(CO)3(NH3)3

    (V) Co(CO)2(NH3)4

    (VI) Co(CO)(NH3)5

    Which statement is correct for these compounds?

  • Question 8
    4 / -1

  • Question 9
    4 / -1

  • Question 10
    4 / -1

    If a bag contains five balls. Two balls are drawn and are found to be white. What is the probabilitythat all the balls are white?

Submit Test
Self Studies
User
Question Analysis
  • Answered - 0

  • Unanswered - 10

  • 1
  • 2
  • 3
  • 4
  • 5
  • 6
  • 7
  • 8
  • 9
  • 10
Submit Test
Self Studies Get latest Exam Updates
& Study Material Alerts!
No, Thanks
Self Studies
Click on Allow to receive notifications
Allow Notification
Self Studies
Self Studies Self Studies
To enable notifications follow this 2 steps:
  • First Click on Secure Icon Self Studies
  • Second click on the toggle icon
Allow Notification
Get latest Exam Updates & FREE Study Material Alerts!
Self Studies ×
Open Now