Self Studies

Mathematics Test 265

Result Self Studies

Mathematics Test 265
  • Score

    -

    out of -
  • Rank

    -

    out of -
TIME Taken - -
Self Studies

SHARING IS CARING

If our Website helped you a little, then kindly spread our voice using Social Networks. Spread our word to your readers, friends, teachers, students & all those close ones who deserve to know what you know now.

Self Studies Self Studies
Weekly Quiz Competition
  • Question 1
    4 / -1

    If statement (P →q) → (q →r) is false, then truth values of statements p,q and r respectively can be

    Solution

    If (P →q) →(q →r) is false then (p →q) must be true and (q →r) must be false.

    Now,

    If P →q is true then P & q both can be true or false :

    If q →r is false then q must be true and r must be false

    So when both condition i.e. P →q true and q → r false satisfy then q is truer is false and P can be true or false

     

  • Question 2
    4 / -1

    A mirror and a source of light are situated at the origin O and at a point on OX respectively. A ray of light from the source strikes the mirror and is reflected. If the direction ratios of the normal to the plane are proportional to 1, –1, 1 then direction cosines of the reflected ray are

    Solution

     

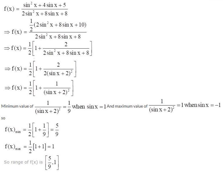
  • Question 3
    4 / -1

    Solution

     

  • Question 4
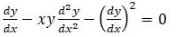
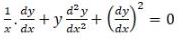
    4 / -1

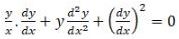
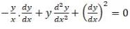
    Find the differential equation of the family of ellipse such that its centre is on the origin

    Solution

     

  • Question 5
    4 / -1

    Solution

     

  • Question 6
    4 / -1

    The eccentricity of an ellipse with its centre at the origin is 1/2. If one of the directrix is x = 4, then the equation of the ellipse is

    Solution

     

  • Question 7
    4 / -1

    The greatest value of λ ≥ 0 for which both the equations 2x2 + ( λ − 1)x + 8 = 0 and x2 − 8x + λ + 4 = 0 have real roots is

    Solution

     

  • Question 8
    4 / -1

    The number of pairs of solution of the system of equations x+y=2π/3, cosx+cosy=3/2 where x and y are real is

    Solution

    Since, the range of cos function is [-1,1], so no values of x and y satisfy the second equation.

    x∈φ, y∈φ

     

  • Question 9
    4 / -1

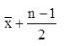
    The mean of n terms is  If first term is increased by 1, second term by 2, and so on, then new mean is

    Solution

     

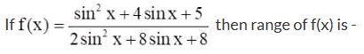
  • Question 10
    4 / -1

    The points of contact of the tangents drawn from the origin to the curve y = sin x lie on the curve

    Solution

    1. Let (h, k) be a point of contact of the tangents drawn from the origin to y = sin x. Then, (h,k) lies on y = sin x..

    ∴k = sin h …(i)

     

Self Studies
User
Question Analysis
  • Correct -

  • Wrong -

  • Skipped -

My Perfomance
  • Score

    -

    out of -
  • Rank

    -

    out of -
Re-Attempt Weekly Quiz Competition
Self Studies Get latest Exam Updates
& Study Material Alerts!
No, Thanks
Self Studies
Click on Allow to receive notifications
Allow Notification
Self Studies
Self Studies Self Studies
To enable notifications follow this 2 steps:
  • First Click on Secure Icon Self Studies
  • Second click on the toggle icon
Allow Notification
Get latest Exam Updates & FREE Study Material Alerts!
Self Studies ×
Open Now