Self Studies

Mathematics Test 266

Result Self Studies

Mathematics Test 266
  • Score

    -

    out of -
  • Rank

    -

    out of -
TIME Taken - -
Self Studies

SHARING IS CARING

If our Website helped you a little, then kindly spread our voice using Social Networks. Spread our word to your readers, friends, teachers, students & all those close ones who deserve to know what you know now.

Self Studies Self Studies
Weekly Quiz Competition
  • Question 1
    4 / -1

    There are two balls in an urn whose colours are not known (each ball can be either white or black). A white ball is put into the urn. A ball is drawn from the urn. The probability that it is white is

    Solution

    Let E(0 < i < 2) denote the event that urn contains 'i' white and '(2 – i)' black balls.

    Let A denote the event that a white ball is drawn from the urn.

     

  • Question 2
    4 / -1

    The plane passing through the point (−2, −2, 2) and containing the line joining the points (1, 1, 1) and (1, −1, 2) makes intercepts on the coordinates axes then sum of the lengths of intercepts is

    Solution

     

  • Question 3
    4 / -1

    If a, b, c are in GP and  are in AP, then a, b, c are the lengths of the sides of a triangle which is

    Solution

     

  • Question 4
    4 / -1

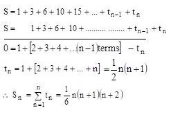
    Sum of the series

    1 + 3 + 6 + 10 + 15 + ……………………….n terms is

    Solution

     

  • Question 5
    4 / -1

    The solution of the equation (2x + y + 1) dx + (4x + 2y – 1) dy = 0 is

    Solution

     

  • Question 6
    4 / -1

    The area bounded by curves y = f(x), the x-axis and the ordinates x = 1 and x = b is (b - 1) sin (3b + 4). Then f(x) is-

    Solution

     

  • Question 7
    4 / -1

    If sin 5x + sin 3 x + sin x = 0, then the value of x other than zero, lying between 0 < x < π/2 is

    Solution

     

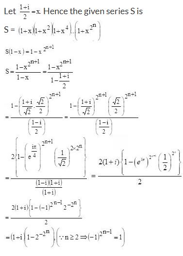
  • Question 8
    4 / -1

    Solution

     

  • Question 9
    4 / -1

    The value of K, for which the equation (K–2)x2 + 8x + K + 4 = 0 has both the roots real distinct and negative is:

    Solution


     

  • Question 10
    4 / -1

    The equation of the common tangent touching the circle (x-3)2 + y2 = 9 and the parabola y2 = 4x above the x-axis, is

    Solution

     

Self Studies
User
Question Analysis
  • Correct -

  • Wrong -

  • Skipped -

My Perfomance
  • Score

    -

    out of -
  • Rank

    -

    out of -
Re-Attempt Weekly Quiz Competition
Self Studies Get latest Exam Updates
& Study Material Alerts!
No, Thanks
Self Studies
Click on Allow to receive notifications
Allow Notification
Self Studies
Self Studies Self Studies
To enable notifications follow this 2 steps:
  • First Click on Secure Icon Self Studies
  • Second click on the toggle icon
Allow Notification
Get latest Exam Updates & FREE Study Material Alerts!
Self Studies ×
Open Now