Self Studies

Mathematics Test 274

Result Self Studies

Mathematics Test 274
  • Score

    -

    out of -
  • Rank

    -

    out of -
TIME Taken - -
Self Studies

SHARING IS CARING

If our Website helped you a little, then kindly spread our voice using Social Networks. Spread our word to your readers, friends, teachers, students & all those close ones who deserve to know what you know now.

Self Studies Self Studies
Weekly Quiz Competition
  • Question 1
    4 / -1

    In the given figure, co-ordinates of the midpoint of AB are?

    Solution

    Here we are given two points A(0, 0) and B (6, 2).

    Since the midpoint falls midway between A and B, it has x-coordinates of A and B.

    x-coordinates of midpoint of AB = 0+6/2 = 3.

    and y-coordinates of the midpoint of AB =  0 + 2/2 = 1.

    Thus the midpoint of AB has co-ordinates (3, 1).

     

  • Question 2
    4 / -1

    The coordinate of any point, which lies in xy plane, is?

    Solution

    Given that the point lies in xy plane

    In xy plane, the coordinate of z will be zero

    So (x,y,0) represents a point which lies in xy plane

    therefore option b is correct.

     

  • Question 3
    4 / -1

    The point (3,0,−4) lies on the?

    Solution

    (3,0,−4)  →   Given point

    Clearly, y=0 and x and z have non-zero value.

    If the point lies on x−z plane, this condition is possible.

    Hence, the answer is XZ- plane.

     

  • Question 4
    4 / -1

    Equation of the plane perpendicular to the plane x – 2y + 5z + 1 = 0 which passes through the points (2, –3, 1) and (–1, 1, –7) is given by?

    Solution

    Equation of the plane through (2, –3, 1) is

    a(x – 2) + b(y + 3) + c(z – 1) = 0

    It passes through (–1, 1, –7) and perpendicular to the plane 

    x – 2y + 5z + 1 = 0

    ∴ –3a+ 4b – 8c = 0 and a – 2b + 5c = 0

    ∴ a/4 = a/7 = c/2

    Hence, equation of required plane is

    4x + 7y + 2z + 11 = 0

     

  • Question 5
    4 / -1

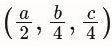
    If a line OP of length r (Where 'O' is the origin) makes an angle α with x-axis and lies on the xz-plane, then what are the coordinates of P?

    Solution

    As OP lies on XZ plane so y co-ordinate is 0.

    QP = r cos α 

    PR = r sin α 

    Co-ordinate of P = (rcosα,0,rsinα) 

    Option a is correct.

     

  • Question 6
    4 / -1

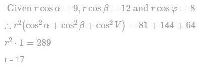
    If the projections of a line on the axes are 9, 12 and 8. Then the length of the line is?

    Solution

     

  • Question 7
    4 / -1

    The plane  meets the coordinate axes at A, B, C respectively. D and E are the mid-points of AB and AC respectively. Coordinates of the mid-point of DE are?

    Solution

     

  • Question 8
    4 / -1

    The foot of the perpendicular from (0, 2, 3) to the line 

    Solution

    Let P (5λ -  3, 2λ + 1, 3λ - 4) be the foot of perpendicular of A (0, 2, 3). Then AP and given line are perpendicular to each other.

    ∴ (5λ - 3) 5 + (2λ - 1) 2 + (3λ - 7) 3 = 0

    ⇒ 38λ - 38 = 0 ⇒ λ = 1

    Hence, P = (2, 3, - 1)

     

  • Question 9
    4 / -1

    In a single throw of two dice, find the probability that neither a doublet nor a total of 10 will appear.

    Solution

    Total outcomes = 36

    Favourable outcomes for getting a doublet or a total of 10 = [(1, 1), (2, 2), (3, 3), (4, 4), (5, 5), (6, 6), (4, 6), (6, 4)]

    Probability = 8/36

    Probability that neither a doublet nor a total of 10 will appear = 1 - 8/36 = 28/36 = 7/9

     

  • Question 10
    4 / -1

    A letter is known to have come from either TATANAGAR or CALCUTTA. On the envelope, just two consecutive letters, TA, are visible. The probability that the letter has come from CALCUTTA is

    Solution

    Let E1 denote the event that the letter has come from TATANAGAR and E2 the event that the letter has come from CALCUTTA.

    Let B denote the event that the two consecutive alphabets visible on the envelope are TA.

    We have P (E1) =  1/2, P (E2) = 1/2, P (B | E1) = 2/8, P (B|E2) = 1/7

    Therefore, by the Bayes' theorem we have

     

Self Studies
User
Question Analysis
  • Correct -

  • Wrong -

  • Skipped -

My Perfomance
  • Score

    -

    out of -
  • Rank

    -

    out of -
Re-Attempt Weekly Quiz Competition
Self Studies Get latest Exam Updates
& Study Material Alerts!
No, Thanks
Self Studies
Click on Allow to receive notifications
Allow Notification
Self Studies
Self Studies Self Studies
To enable notifications follow this 2 steps:
  • First Click on Secure Icon Self Studies
  • Second click on the toggle icon
Allow Notification
Get latest Exam Updates & FREE Study Material Alerts!
Self Studies ×
Open Now