Self Studies

Mathematics Test 275

Result Self Studies

Mathematics Test 275
  • Score

    -

    out of -
  • Rank

    -

    out of -
TIME Taken - -
Self Studies

SHARING IS CARING

If our Website helped you a little, then kindly spread our voice using Social Networks. Spread our word to your readers, friends, teachers, students & all those close ones who deserve to know what you know now.

Self Studies Self Studies
Weekly Quiz Competition
  • Question 1
    4 / -1

    Two numbers x and y are chosen at random without replacement from the first 30 natural numbers. The probability that  x2 - y2 is divisible by 3 is

    Solution

    Total number of ways of choosing two numbers out of 30 is 30C2 We rewrite the first 30  natural numbers in three rows as follows:

    Row I: 1, 4, 7, 10, 13, 16, 19, 22, 25, 28
    Row II: 2, 5, 8, 11, 14, 17, 20, 23, 26, 29
    Row III: 3, 6, 9, 12, 15, 18, 21, 24, 27, 30

    For x2 - y2 to be divisible by 3, either both x and y must be chosen from the same row or exactly one of x, y from Row I and the other from Row II.

    Thus, the number of favourable ways

    = 3 (10C2) + 10 x 10 = 235

    ∴ probability of the required even

     

  • Question 2
    4 / -1

    Three numbers are chosen at random from the first 20 natural numbers. The probability that the selected numbers form a G.P. is

    Solution

     

  • Question 3
    4 / -1

    The probability that in a group of 3 people, at least two will have the same birthday is

    Solution

    Let A be the event that at least two people have the same birthday.

    Then,

     

  • Question 4
    4 / -1

    Past records show that on an average, 1 house out of 1000 in a certain district has a fire during a year. If there are 2000 houses in that district, the probability that 5 houses will have a fire is

    Solution

     

  • Question 5
    4 / -1

    Alex is taking readings of an experiment. He calculated the algebraic sum of deviation of 25 observations which were measured from 40 was found out to be 5. What is the mean of the readings?

    Solution

     

  • Question 6
    4 / -1

    A scientist was weighing each of 30 fishes. Their mean weight worked out is 30 g and standard deviation is 2 g. Later, it was found that the measuring scale was misaligned and always under-reported every fish's weight by 2 g. The correct mean and standard deviation (in g) of fishes, are respectively

    Solution

    Since mean (X + b) = E( X + b) = E(X) + b and Var (X + b) = Var X,

    We get correct mean as 30 + 2 = 32 g and (s.d.) standard deviation as 2 g.

     

  • Question 7
    4 / -1

    If the standard deviation of x1, x2, …, xn is 3.5, then the standard deviation of – 2x1 – 3, – 2x2 – 3, …, – 2xn – 3 is:

    Solution

    The standard deviation of a set remains unchanged if each data is increased or decreased by a constant.

    However, it changes similarly when data is multiplied or divided by a constant.

    ∴ The SD for the new data set will be = −2 × 3.5 = −7

     

  • Question 8
    4 / -1

    The mean of 6 distinct observations is 6.5 and their variance is 10.25. If 4 out of 6 observations are 2, 4, 5 and 7, then the remaining two observations are:

    Solution

     

  • Question 9
    4 / -1

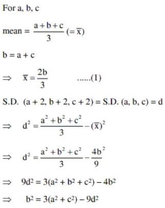
    Consider three observations a, b and c such that b = a + c. If the standard deviation of a + 2, b + 2, c + 2 is d, then which of the following is true?

    Solution

     

  • Question 10
    4 / -1

    The mean of five observations is 5 and their variance is 9.20. If three of the given five observations are 1, 3 and 8, then a ratio of other two observations is:

    Solution

     

Self Studies
User
Question Analysis
  • Correct -

  • Wrong -

  • Skipped -

My Perfomance
  • Score

    -

    out of -
  • Rank

    -

    out of -
Re-Attempt Weekly Quiz Competition
Self Studies Get latest Exam Updates
& Study Material Alerts!
No, Thanks
Self Studies
Click on Allow to receive notifications
Allow Notification
Self Studies
Self Studies Self Studies
To enable notifications follow this 2 steps:
  • First Click on Secure Icon Self Studies
  • Second click on the toggle icon
Allow Notification
Get latest Exam Updates & FREE Study Material Alerts!
Self Studies ×
Open Now