Self Studies

Mathematics Test 276

Result Self Studies

Mathematics Test 276
  • Score

    -

    out of -
  • Rank

    -

    out of -
TIME Taken - -
Self Studies

SHARING IS CARING

If our Website helped you a little, then kindly spread our voice using Social Networks. Spread our word to your readers, friends, teachers, students & all those close ones who deserve to know what you know now.

Self Studies Self Studies
Weekly Quiz Competition
  • Question 1
    4 / -1

    Solution

     

  • Question 2
    4 / -1

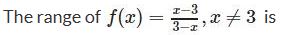
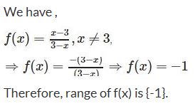
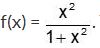
    Let f: R → R be a mapping such that  Then f is

    Solution

     

  • Question 3
    4 / -1

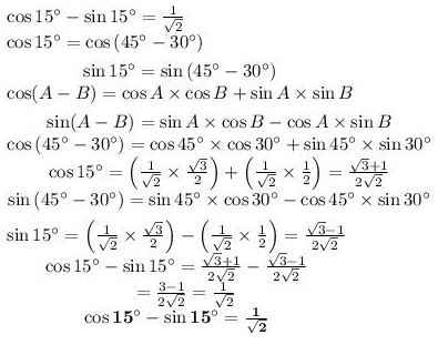
    The value of cos15º− sin15º is

    Solution

     

  • Question 4
    4 / -1

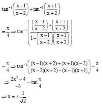
    The values of x which satisfy the trigonometric equation

    Solution

     

  • Question 5
    4 / -1

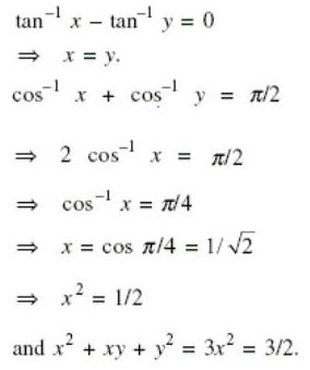
    If cos–1 x + cos–1 y = π/2 and tan–1 x – tan–1 y = 0, then x2 + xy + y2 is equal to

    Solution

     

  • Question 6
    4 / -1

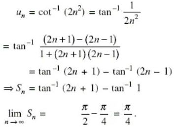
    The sum of the infinite series cot–1 2 + cot–1 8 + cot–1 18 + cot–1 32 + … is equal to

    Solution

     

     

  • Question 7
    4 / -1

    2 cos-1 x = cos-1 (2x2 -1) holds true if

    Solution

    2 cos-1 x = cos-1 (2x2 -1) ⇒ cos(2 cos-1 x) = 2x2 - 1

    Since,

    - 1 ≤ cos(2 cos-1 x) ≤ 1

    ⇒ -1 ≤ 2x2 - 1 ≤ 1

    ⇒ 0 ≤ 2x2 ≤ 2

    ⇒ 0 ≤ x ≤ 1

     

  • Question 8
    4 / -1

    If A = (aij)3 × 3 is a matrix satisfying the equation x3 – 3x + 1 = 0, then

    Solution

    A3 - 3A + l = 0 ⇒ l = A(3I - A2)

    Since matrix I is an identity matrix and I is invertible, A(3I - A2) is also an invertible matrix.

    So, matrix A is also invertible, hence non-singular.

     

  • Question 9
    4 / -1

    Solution

     

     

  • Question 10
    4 / -1

    The rows and columns of matrix A will be linearly dependent if

    Solution

    The rows and columns of the matrix A are linearly dependent if the determinant of the matrix A is equal to 0.

     

Self Studies
User
Question Analysis
  • Correct -

  • Wrong -

  • Skipped -

My Perfomance
  • Score

    -

    out of -
  • Rank

    -

    out of -
Re-Attempt Weekly Quiz Competition
Self Studies Get latest Exam Updates
& Study Material Alerts!
No, Thanks
Self Studies
Click on Allow to receive notifications
Allow Notification
Self Studies
Self Studies Self Studies
To enable notifications follow this 2 steps:
  • First Click on Secure Icon Self Studies
  • Second click on the toggle icon
Allow Notification
Get latest Exam Updates & FREE Study Material Alerts!
Self Studies ×
Open Now