Self Studies

Mathematics Test 277

Result Self Studies

Mathematics Test 277
  • Score

    -

    out of -
  • Rank

    -

    out of -
TIME Taken - -
Self Studies

SHARING IS CARING

If our Website helped you a little, then kindly spread our voice using Social Networks. Spread our word to your readers, friends, teachers, students & all those close ones who deserve to know what you know now.

Self Studies Self Studies
Weekly Quiz Competition
  • Question 1
    4 / -1

    If A and B are two matrices, such that, AB = B and BA = A, then A2 + B2 is equal to

    Solution

    We have:

    A2 + B2 = (BA)2 + (AB)2

    = (BA)(BA) + (AB)(AB)

    = B(AB)A + A(BA)B

    = B(BA) + A(AB) = BA + AB = A + B

     

  • Question 2
    4 / -1

    If R is a relation from a non – empty set A to a non – empty set B, then

    Solution

    Let A and B be two sets. Then a relation R from set A to set B is a subset of A × B. Thus, R is a relation from A to B ⇔ R ⊆ A × B.

     

  • Question 3
    4 / -1

    Let R be the relation over the set of straight lines of a plane such that l1 R l2 ⇔ l1 ⊥ l2. Then, R is

    Solution

    To be reflexive, a line must be perpendicular to itself, but which is not true. So, R is not reflexive

    For symmetric, if  l1 R l2 ⇒ l1 ⊥ l2.

    ⇒  l2 ⊥ l1 ⇒ l1 R l2 hence symmetric

    For transitive,  if l1 R l2 and l2 R l3

    ⇒ l1 R l2  and l2 R l3  does not imply that l1 ⊥ l3 hence not transitive.

     

  • Question 4
    4 / -1

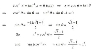
    If cos-1 x = tan-1 x, then sin(cos-1 x) is equal to

    Solution

     

  • Question 5
    4 / -1

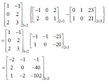
    The order of the single matrix obtained from is

    Solution

     

  • Question 6
    4 / -1

    If ω is a complex cube root of unity, then the matrix 

    Solution

     

  • Question 7
    4 / -1

    Let A = {X = (x, y, z)T : PX = 0 and x2 + y2 + z2 = 1}, where  then the set A

    Solution

     

  • Question 8
    4 / -1

    In a skew symmetric matrix, the diagonal elements are all

    Solution

    A skew-symmetric matrix is a square matrix A that satisfies the condition:

    AT = −A

    This means that the transpose of the matrix is equal to the negative of the matrix. As a result, the elements on the diagonal of a skew-symmetric matrix must be zero. This is because for any diagonal element aii, the condition aii = −aii​ must hold, which is only true if aii = 0.

    Therefore, the diagonal elements of a skew-symmetric matrix are all zero.

    Thus, the correct answer is B: Zero.

     

  • Question 9
    4 / -1

    The void relation (a subset of A x A) on a non empty set A is:

    Solution

    The relation { } ⊂ A x A on a is surely not reflexive. However, neither symmetry nor transitivity is contradicted. So { } is a transitive and symmetry relation on A.

     

  • Question 10
    4 / -1

    A relation R in a set A is called reflexive,

    Solution

    A relation R on a non empty set A is said to be reflexive if fx Rx for all x ∈ R, Therefore, R is reflexive.

     

Self Studies
User
Question Analysis
  • Correct -

  • Wrong -

  • Skipped -

My Perfomance
  • Score

    -

    out of -
  • Rank

    -

    out of -
Re-Attempt Weekly Quiz Competition
Self Studies Get latest Exam Updates
& Study Material Alerts!
No, Thanks
Self Studies
Click on Allow to receive notifications
Allow Notification
Self Studies
Self Studies Self Studies
To enable notifications follow this 2 steps:
  • First Click on Secure Icon Self Studies
  • Second click on the toggle icon
Allow Notification
Get latest Exam Updates & FREE Study Material Alerts!
Self Studies ×
Open Now