Self Studies

Mathematics Tes...

TIME LEFT -
  • Question 1
    4 / -1

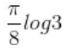
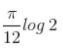
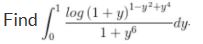
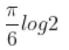
    What is the value of expression after solving limits:

  • Question 2
    4 / -1

  • Question 3
    4 / -1

  • Question 4
    4 / -1

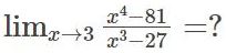
    Solve: limx→0 tan x =

  • Question 5
    4 / -1

  • Question 6
    4 / -1

    For a function g(x), g(x) is continuous for all x ∈ R. If g(0) = g'(1) = 1 and  then what is the value of g(1)?

  • Question 7
    4 / -1

  • Question 8
    4 / -1

    The area (in sq. units) of the region {(x, y) ∈ R2 : x2 ≤ y ≤ 3 - 2x} is

  • Question 9
    4 / -1

  • Question 10
    4 / -1

Submit Test
Self Studies
User
Question Analysis
  • Answered - 0

  • Unanswered - 10

  • 1
  • 2
  • 3
  • 4
  • 5
  • 6
  • 7
  • 8
  • 9
  • 10
Submit Test
Self Studies Get latest Exam Updates
& Study Material Alerts!
No, Thanks
Self Studies
Click on Allow to receive notifications
Allow Notification
Self Studies
Self Studies Self Studies
To enable notifications follow this 2 steps:
  • First Click on Secure Icon Self Studies
  • Second click on the toggle icon
Allow Notification
Get latest Exam Updates & FREE Study Material Alerts!
Self Studies ×
Open Now