Self Studies

Mathematics Test 282

Result Self Studies

Mathematics Test 282
  • Score

    -

    out of -
  • Rank

    -

    out of -
TIME Taken - -
Self Studies
Weekly Quiz Competition
  • Question 1
    4 / -1

    Domain of definition of the function 

    Solution

     

  • Question 2
    4 / -1

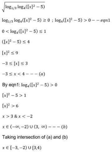
    The domain of the function √(log1/3 log4 ([x]2 - 5)) is (where [x] denotes greatest integer function)

    Solution

     

  • Question 3
    4 / -1

    Solution

     

  • Question 4
    4 / -1

    Solution

     

  • Question 5
    4 / -1

    A real valued function f(x) satisfies the functional equation f(x – y) = f(x) f(y) – f(a – x) f(a + y) where a is a given constant and f(0) = 1, f(2a – x) is equal to

    Solution

     

  • Question 6
    4 / -1

    Solution

     

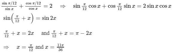
  • Question 7
    4 / -1

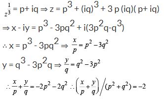
     is real, then the point represented by the complex number z lies :

    Solution

     

  • Question 8
    4 / -1

    Calculate the least whole number, which when subtracted from both the terms of the ratio 5 : 6 gives a ratio less than 17 : 22.

    Solution

    Given:

    Initial ratio = 5 ∶ 6

    Final ratio should be less than 17 ∶ 22

    Calculation:

    Let the least whole number that is needed to be subtracted be a.

    According to the question,

    (5 - a)/(6 - a) < 17/22

    ⇒ 5 × 22 - 22a < 17 × 6 - 17a 

    ⇒ 110 - 22a < 102 - 17a 

    ⇒ 110 - 102 < - 17a + 22a 

    ⇒ 8 < 5a 

    ⇒ 8/5 = 1.6 < a 

    ∴ The least whole number must be 2.

     

  • Question 9
    4 / -1

    Given, 6x + 2(6 - x) > 2x - 2 < 5x/2 - 3x/4, then x can take which of the following values?

    Solution

    ⇒ 6x + 2(6 - x) > 2x - 2

    ⇒ 6x + 12 - 2x > 2x - 2

    ⇒ 2x > - 14

    ⇒ x > - 7     ----(1)

    ⇒ 2x - 2 < 5x/2 - 3x/4

    ⇒ 2x - 2 < 7x/4

    ⇒ 8x - 7x < 8

    ⇒ x < 8     ----(2)

    From (1) and (2),

    - 7 < x < 8

    ∴ x = 5 satisfies the given conditions from the above options.

     

  • Question 10
    4 / -1

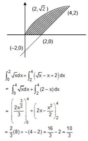
    The area (in sq. units) of the region {x ∈ R : x ≥ 0, y ≥ 0, y ≥ x - 2 and y ≤ √x) is

    Solution

     

Self Studies
User
Question Analysis
  • Correct -

  • Wrong -

  • Skipped -

My Perfomance
  • Score

    -

    out of -
  • Rank

    -

    out of -
Re-Attempt Weekly Quiz Competition
Self Studies Get latest Exam Updates
& Study Material Alerts!
No, Thanks
Self Studies
Click on Allow to receive notifications
Allow Notification
Self Studies
Self Studies Self Studies
To enable notifications follow this 2 steps:
  • First Click on Secure Icon Self Studies
  • Second click on the toggle icon
Allow Notification
Get latest Exam Updates & FREE Study Material Alerts!
Self Studies ×
Open Now