Self Studies

Physics Test 280

Result Self Studies

Physics Test 280
  • Score

    -

    out of -
  • Rank

    -

    out of -
TIME Taken - -
Self Studies
Weekly Quiz Competition
  • Question 1
    4 / -1

    A rod PQ of mass M and length L is hinged at end P. The rod is kept horizontal by a massless string tied to point Q as shown in the figure. When the string is cut, the initial angular acceleration of the rod is:

    Solution

     

  • Question 2
    4 / -1

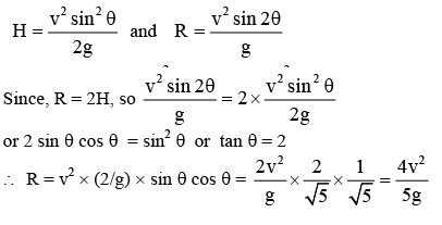
    A particle is projected with a velocity v, so that its range on a horizontal plane is twice the greatest height attained. If g is acceleration due to gravity, then its range is

    Solution

     

  • Question 3
    4 / -1

    A body starts from rest, the ratio of distances travelled by the body during 3rd and 4thseconds is :

    Solution

    The velocity after 2 sec = 2a and velocity after 3 sec = 3a

    For some constant acceleration a,

    Now distance travelled in third second, s3 = 2a + 1 / 2 a

    = 5/2 a

    Similarly distance travelled in fourth second, s4= 3a + 1 / 2 a

    = 7/2 a

    Hence the required ratio is 5/7

     

  • Question 4
    4 / -1

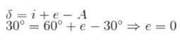
    A ray of light is incident at an angle of 60° on one face of a prism of angle 30°. The emergent ray of light makes an angle of 30° with incident ray. The angle made by the emergent ray with second face of prism will be:

    Solution

    For the prism, angle of deviation is given by:

    Hence, emergent ray will be perpendicular to the second face or we say that the angle made by the emergent ray is 90°.

     

  • Question 5
    4 / -1

    The diagram of a logic circuit is given below. The output F of the circuit is given by:

    Solution

    By law of distribution of Boolean Algebra, we have A+ (B. C) = (A+B). (A + C)

    Step 1: Write outputs for the OR gates with inputs W and X, and W and Y.

    Input for first OR gate are W and X. The output for this OR gate is, Y1 = W + X

    Input for second OR gate are W and Y. The output for this OR gate is, Y2 = W + Y

    Step 2: Write output for AND gate whose inputs are the output of OR gate.

    F = Y1 • Y⇒ F = (W + X). (W + Y)

    By using Law of distribution of Boolean Algebra, A + (B. C) = (A+B). (A + C)

    Therefore, F = W + (X. Y)

     

  • Question 6
    4 / -1

    In the circuit shown in the Figure, cell is ideal and R2 = 100Ω. A voltmeter of internal resistance 200Ω reads V12 = 4 V and V23 = 6 V between the pair of points 1 - 2 and 2 - 3 respectively. What will be the reading of the voltmeter between the points 1 - 3.

    Solution

     

  • Question 7
    4 / -1

    The energy required to separate the typical middle mass nucleus 12050Sn into its constituent nucleons is:

    (Mass of 12050Sn = 119.902199 amu, mass of proton = 1.007825 amu, and mass of neutron = 1.008665 amu)

    Solution

    Given, Z = 50, A = 120, so number of neutrons = A - Z = 120 - 50 = 70

    Mass defect, Δm = (Z × mp) + ((A - Z) × mn) - M

    = (50 × 1.007825) + (70 × 1.008665) - 119.902199

    = 50.39125 + 70.60655 - 119.902199 = 1.095601 amu

    Energy released (binding energy) E = Δm × 931.478 MeV/amu

    = 1.095601 × 931.478 = 1020.53 MeV ≈ 1021 MeV

    Therefore, the energy required to separate the nucleus into its constituent nucleons is approximately 1021 MeV.

     

  • Question 8
    4 / -1

    The astronomical phenomenon when the planet Venus passes directly between the Sun and the earth is known as Venus transit. For two separate persons standing on the earth at points M and N, the Venus appears as black dots at points M' and N' on the Sun. The orbital period of Venus is close to 220 days. Assuming that both earth and Venus revolve on circular paths and taking distance MN = 1000 km, calculate the distance M'N' on the surface of the Sun.

    [Take (2.75)1/3 = 1.4]

    Solution

    Let radius of circular orbit of the Earth and Venus be re and rv respectively (rc/rv) = (365/220)2 [Kepler's third law] 

    ⇒ rc/rv = (2.75)1/3 = 1.4

    From the drawing given in the problem M'N'/MN = N'V/NV

     

  • Question 9
    4 / -1

    A straight wire of length L and radius a has a current I. A particle of mass m and charge q approaches the wire moving at a velocity v in a direction anti parallel to the current. The line of motion of the particle is at a distance r from the axis of the wire. Assume that r is slightly larger than a so that the magnetic field seen by the particle is similar to that caused by a long wire. Neglect end effects and assume that speed of the particle is high so that it crosses the wire quickly and suffers a small deflection θ in its path. Calculate θ.

    Solution

    This force is always perpendicular to the velocity. Since deflection is small, the force is nearly in

     

  • Question 10
    4 / -1

    Two hollow-core solenoids, A and B, are connected by a wire and separated by a large distance, as shown in the diagram. Two bar magnets, 1 and 2, are suspended just above the solenoids. If the magnet 1 is dropped through solenoid A as shown, then the magnet 2 will simultaneously be

    Solution

    As the magnet -1 falls into solenoid A, the magnetic flux associated with solenoid A increase. From Lenz's law induced current in solenoid A will oppose this increase in magnetic flux. Hence direction of induced current in solenoids is as shown. The nature of magnetic field produced by solenoid B is as shown. Therefore magnet 2 will be attracted by magnetic field due to solenoid B.

     

Self Studies
User
Question Analysis
  • Correct -

  • Wrong -

  • Skipped -

My Perfomance
  • Score

    -

    out of -
  • Rank

    -

    out of -
Re-Attempt Weekly Quiz Competition
Self Studies Get latest Exam Updates
& Study Material Alerts!
No, Thanks
Self Studies
Click on Allow to receive notifications
Allow Notification
Self Studies
Self Studies Self Studies
To enable notifications follow this 2 steps:
  • First Click on Secure Icon Self Studies
  • Second click on the toggle icon
Allow Notification
Get latest Exam Updates & FREE Study Material Alerts!
Self Studies ×
Open Now