Self Studies

Quantitative Aptitude Test - 10

Result Self Studies

Quantitative Aptitude Test - 10
  • Score

    -

    out of -
  • Rank

    -

    out of -
TIME Taken - -
Self Studies

SHARING IS CARING

If our Website helped you a little, then kindly spread our voice using Social Networks. Spread our word to your readers, friends, teachers, students & all those close ones who deserve to know what you know now.

Self Studies Self Studies
Weekly Quiz Competition
  • Question 1
    4 / -1

    Solution

  • Question 2
    4 / -1

    When 0° ≤ θ ≤ 90°, then solution of cos2 θ + sin θ - 2 = 0 is:

    Solution

  • Question 3
    4 / -1

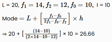
    Find the mode of the following data

    Class

    0 -10

    10 - 20

    20 - 30

    30 - 40

    40 - 50

    frequency

    6

    10

    14

    12

    4

    Solution

    From the given data it is cleared data the highest frequency is 14 and it belongs to 20 - 30 class interval so 20 - 30 is the modal class.

  • Question 4
    4 / -1

    There is a path of width 5m around a circular plot of land whose area is 144πm2. The total area of the circular plot including the path surrounding it is:

    Solution

  • Question 5
    4 / -1

    The average of 33 numbers is 74. The average of the first 17 number is 72.8 and that of the last 17 number is 77.2. If the 17th number is excluded, then what will be the average of the remaining numbers (correct to one decimal place)?

    Solution

  • Question 6
    4 / -1

    Worker A takes 8 hours to do a job. Worker B takes 10 hours to do a job. How long should it take both A and B, working together to do the same job?

    Solution

    In this type of question, first we need to calculate 1 hours work, then their collective work as,

  • Question 7
    4 / -1

    The average age of Sita and Gita is 30 years. If Rita replaces Sita, then the average age will become 28 years and if Rita replaces Gita, then the average age will become 32 years. What are the respective ages (in years) of Sita, Gita and Rita?

    Solution

  • Question 8
    4 / -1

    One person travels on through the sides of an equilateral triangle at a speed of 12kmph 24kmph, and 8kmph, Find the average speed of it. (In kmph)

    Solution

  • Question 9
    4 / -1

    800 is first increased by 10% and then it is again increased by 20%. What is the final value?

    Solution

  • Question 10
    4 / -1

    Two vessels contain milk and water in the ratio 3 : 1 and 5 : 3. Find the ratio on which these two must be mixed to get a new mixture in which the ratio of milk to water becomes 2 : 1.

    Solution

Self Studies
User
Question Analysis
  • Correct -

  • Wrong -

  • Skipped -

My Perfomance
  • Score

    -

    out of -
  • Rank

    -

    out of -
Re-Attempt Weekly Quiz Competition
Self Studies Get latest Exam Updates
& Study Material Alerts!
No, Thanks
Self Studies
Click on Allow to receive notifications
Allow Notification
Self Studies
Self Studies Self Studies
To enable notifications follow this 2 steps:
  • First Click on Secure Icon Self Studies
  • Second click on the toggle icon
Allow Notification
Get latest Exam Updates & FREE Study Material Alerts!
Self Studies ×
Open Now