Self Studies

Quantitative Ap...

TIME LEFT -
  • Question 1
    4 / -1

    What will be the least number which when doubled will be exactly divisible by 12, 18, 21 and 30?

  • Question 2
    4 / -1

    In 1998, the price of an article increased by 25% with respect to that in 1997. In 1999 the price of the article is reduced by 10% with respect to that in 1998 and sold at 7200 rupees then what is the price of the article in 1996 if the price of the article in 1996 and 1997 are in a ratio 3 : 2?

  • Question 3
    4 / -1

    Walls (excluding roofs and floors) of 5 identical rooms having a length, breadth and height 6 m, 4 m and 2.5 m respectively are to be painted. Out of five rooms, two rooms have one square window each having a side of 2.5 m. Paints are available only in cans of 1 litre, and 1 litre of paint can be used for painting 20 square metres. The number of cans required for painting is:

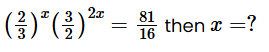
  • Question 4
    4 / -1

  • Question 5
    4 / -1

    The difference between the simple interest and the compound interest compounded annually at the rate of 12% per annum on Rs.5000 for two years will be:

  • Question 6
    4 / -1

    A problem is given to three persons and their chances of solving it are 1/3, 1/4, 1/5 respectively. This probability that none will solve it is:

  • Question 7
    4 / -1

  • Question 8
    4 / -1

    Three numbers are in the ratio 1/2 : 2/3 : 3/4. The difference between the greatest and the smallest number is 27. The smallest number is :

  • Question 9
    4 / -1

    18 litres of a mixture contains milk and water in the ratio 5 : 4. How much milk should be added to this mixture, so that the resulting mixture has milk and water in the ratio 7 : 4?

  • Question 10
    4 / -1

Submit Test
Self Studies
User
Question Analysis
  • Answered - 0

  • Unanswered - 10

  • 1
  • 2
  • 3
  • 4
  • 5
  • 6
  • 7
  • 8
  • 9
  • 10
Submit Test
Self Studies Get latest Exam Updates
& Study Material Alerts!
No, Thanks
Self Studies
Click on Allow to receive notifications
Allow Notification
Self Studies
Self Studies Self Studies
To enable notifications follow this 2 steps:
  • First Click on Secure Icon Self Studies
  • Second click on the toggle icon
Allow Notification
Get latest Exam Updates & FREE Study Material Alerts!
Self Studies ×
Open Now