Self Studies

Quantitative Aptitude Test - 13

Result Self Studies

Quantitative Aptitude Test - 13
  • Score

    -

    out of -
  • Rank

    -

    out of -
TIME Taken - -
Self Studies

SHARING IS CARING

If our Website helped you a little, then kindly spread our voice using Social Networks. Spread our word to your readers, friends, teachers, students & all those close ones who deserve to know what you know now.

Self Studies Self Studies
Weekly Quiz Competition
  • Question 1
    4 / -1

    If the length and height of a cuboid of volume 480 cm3 is 12 cm and 5 cm respectively, then what is the relation between the length and breadth of the cuboid?

    Solution

  • Question 2
    4 / -1

    A and B can finish a work in 30 days and 20 days, respectively. If they worked together for 6 days and A leaves the job abruptly; then, how many days will B take to complete the remaining task?

    Solution

    Given:

    A can finish the work in 30 days.

    B can finish the work in 20 days.

    they both worked for 6 day and A left the job.

    By LCM method,

    Let the total work = LCM of (30, 20) = 60 unit

  • Question 3
    4 / -1

    A shopkeeper has a profit of 14% on selling his product in Rs. 1,254. Find the amount that will be equal to half of the cost of the product. (In rupees)

    Solution

  • Question 4
    4 / -1

    A mixture contains milk and water in the ratio 9 : 8. If 10 liters of water is added to it, the ratio of milk and water becomes 51 : 47. Find the original quantity of milk in the mixture.

    Solution

  • Question 5
    4 / -1

    In the figure given below, ABCD is the diameter of a circle of radius 9 cm. The lengths AB, BC and CD are equal. Semicircles are drawn on AB and BD as diameters as shown in the figure. What is the area of the shaded region?

    Solution

  • Question 6
    4 / -1

    The relation between, AM, GM and HM is:

    Solution

  • Question 7
    4 / -1

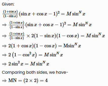
    In the following trigonometry expression, find the value of (MN).

    Solution

  • Question 8
    4 / -1

    Solution

    Correlation coefficient is the geometric mean between regression coefficients:

  • Question 9
    4 / -1

    The length of a circular track is 800 m. Virat and Amresh started from the same point on the track and ran in opposite directions. Virat took 12 minutes to cover one kilometer while Amresh took only 9 minutes to cover the same distance. They kept running for 90 minutes. How many times did they cross each other?

    Solution

    The time taken to cover one kilometer for Vira tand Amresh is in the ratio 12 : 9 = 4 : 3

    Their speeds are in the ratio 3 : 4.  (Speed and travel time are Inversely Proportional)

    Virat covers 3/7th of the track and Amresh covers 4/7th from one crossing to the next i.e.

    Virat covers 3 × 800 m from one crossing to the next.

  • Question 10
    4 / -1

    The odds against an event A are 5 : 3 and odds in favor of another independent event B and 6 : 5. The chances that neither A nor B occurs is:

    Solution

Self Studies
User
Question Analysis
  • Correct -

  • Wrong -

  • Skipped -

My Perfomance
  • Score

    -

    out of -
  • Rank

    -

    out of -
Re-Attempt Weekly Quiz Competition
Self Studies Get latest Exam Updates
& Study Material Alerts!
No, Thanks
Self Studies
Click on Allow to receive notifications
Allow Notification
Self Studies
Self Studies Self Studies
To enable notifications follow this 2 steps:
  • First Click on Secure Icon Self Studies
  • Second click on the toggle icon
Allow Notification
Get latest Exam Updates & FREE Study Material Alerts!
Self Studies ×
Open Now