Self Studies

Quantitative Aptitude Test - 14

Result Self Studies

Quantitative Aptitude Test - 14
  • Score

    -

    out of -
  • Rank

    -

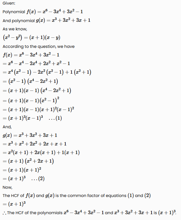
    out of -
TIME Taken - -
Self Studies

SHARING IS CARING

If our Website helped you a little, then kindly spread our voice using Social Networks. Spread our word to your readers, friends, teachers, students & all those close ones who deserve to know what you know now.

Self Studies Self Studies
Weekly Quiz Competition
  • Question 1
    4 / -1

    The age of the teacher is 300% of the age of a student. After four years, the ratio of the ages of the teacher and the student becomes 13 : 5. Find the present age of the teacher.

    Solution

  • Question 2
    4 / -1

    Solution

  • Question 3
    4 / -1

    In a GP consisting of positive terms, each term equals the sum of the next two terms. Then the common ratio of the GP is:

    Solution

  • Question 4
    4 / -1

    LCM of two numbers is 28 times their HCF. The sum of the HCF and the LCM is 1740. If one of these numbers is 240, then what is the other number?

    Solution

  • Question 5
    4 / -1

    A sum of money becomes 5 times at simple interest in 16 years. What is the rate of interest?

    Solution

  • Question 6
    4 / -1

    In a college election for Ladies representative 60% girls and 80% of boys voted for Anushka. There are 45% girls in the college. How many percentage votes Anushka got?

    Solution

    Given:

    Percentage of girls in the college = 45%

    Percentage of girls who voted for Anushka = 60%

    Percentage of boys who voted for Anushka = 80%

    Let the number of students be 100.

    Then according to the question,

    Number of girls = 45% of 100 = 45

    Number of boys = 100 – 45 = 55

  • Question 7
    4 / -1

    The purchase value of 4 items are equal to sales value of 3 items. The % profit is

    Solution

  • Question 8
    4 / -1

    The income of A is 60% less than that of B, and the expenditure of A is equal to 60% of B′ s expenditure. If A's income is equal to 70% of B's expenditure, then what is the ratio of the savings of A and B?

    Solution

  • Question 9
    4 / -1

    Solution

  • Question 10
    4 / -1

    The average temperature from Sunday to Wednesday is 34° C while the average temperature from Wednesday to Saturday is 38°C. The average temperature throughout the week is 36°C. Find the temperature on Wednesday.

    Solution

    Given:

    The average temperature from Sunday to Wednesday = 34° C

    The average temperature from Wednesday to Saturday = 38°C

    The average temperature throughout the week = 36°C.

    Total temperature from Sunday to Wednesday = 4 × 34

    = 136°C

    Total temperature from Wednesday to Saturday = 4 × 38

    = 152°C

    Total temperature from Sunday to Saturday = 7 × 36

    = 252°C

    Wednesday = (136 + 152 – 252)°C

    = 36°C

Self Studies
User
Question Analysis
  • Correct -

  • Wrong -

  • Skipped -

My Perfomance
  • Score

    -

    out of -
  • Rank

    -

    out of -
Re-Attempt Weekly Quiz Competition
Self Studies Get latest Exam Updates
& Study Material Alerts!
No, Thanks
Self Studies
Click on Allow to receive notifications
Allow Notification
Self Studies
Self Studies Self Studies
To enable notifications follow this 2 steps:
  • First Click on Secure Icon Self Studies
  • Second click on the toggle icon
Allow Notification
Get latest Exam Updates & FREE Study Material Alerts!
Self Studies ×
Open Now