Self Studies

Quantitative Aptitude Test - 16

Result Self Studies

Quantitative Aptitude Test - 16
  • Score

    -

    out of -
  • Rank

    -

    out of -
TIME Taken - -
Self Studies

SHARING IS CARING

If our Website helped you a little, then kindly spread our voice using Social Networks. Spread our word to your readers, friends, teachers, students & all those close ones who deserve to know what you know now.

Self Studies Self Studies
Weekly Quiz Competition
  • Question 1
    4 / -1

    Solution

  • Question 2
    4 / -1

    A man and a woman received Rs. 1500 as wages for 20 days for the work they did together. If the efficiency of the man is double the women, then find daily wages of woman.

    Solution

    Given,

    Wages of 20 days of 1 man and 1 woman = Rs. 1500

    Let efficiency of 1 woman be 1 unit/day

    Efficiency of 1 man = 2 unit/day

    According to the question,

  • Question 3
    4 / -1

    A man purchases a car for 1,35,000 and spent 25,000 on repairs. At what price was the car sold if he suffered a 10% loss on it?

    Solution

  • Question 4
    4 / -1

    A container has capacity of 20 litres and is full of milk. 10 Litre of milk is taken out of it and replaced by the same quantity of water again 10 litres of mixture is taken out and replaced by an equal quantity of water. How much milk is left in the mixture?

    Solution

    Given:

    A container has capacity of 20 litres.

    Here, the number of operations is 2 , that is n = 2

    Milk left in the container after n operations/Original quantity of milk in the container.

  • Question 5
    4 / -1

    If the perimeter of the circle and square are equal, then the ratio of their areas will be equal to:

    Solution

  • Question 6
    4 / -1

    If five friends received their pocket money as 170, 430, 300, 600 and 470 respectively. Find the mean and mean deviation of the received pocket money.

    Solution

  • Question 7
    4 / -1

    In a ΔABC, if a = 18, b = 24 and c = 30 then find the value of sin (A/2)?

    Solution

    Given:

    For ΔABC we have a = 18, b = 24 and c = 30

    Here, we have to find the value of sin (A/2)

    As we know that, if a, b and c are the sides of the Δ ABC then 2S = a + b + c

    ⇒ 2S = 18 + 24 + 30 = 72

    ⇒ S = 36

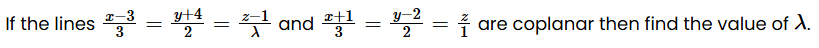
  • Question 8
    4 / -1

    Solution

  • Question 9
    4 / -1

    A man walks from P to Q at the rate of 5 km/h and returns from Q to P at 3 km/h. What is his average speed for the whole journey?

    Solution

    Let the distance between P and Q be x km, then

    As we know,

    Average speed = Total distance/Total time

  • Question 10
    4 / -1

    Travelling at 3/4 of the normal speed, a person reaches his workplace 15 minutes late. How many minutes does he take usually to reach the workplace?

    Solution

    Let the normal speed be 4 km/hr

    Travelling speed = 4 × (3/4) = 3 km/hr

    Ratio of normal speed to travelling speed = 4x : 3x

    As we know,

    Time is inversely proportional to time.

    Ratio of normal time to travelling time = 3x : 4x

    4x – 3x = 15

    ⇒ x = 15

    ∴ Normal time = 3x = 3 × 15 = 45 min

Self Studies
User
Question Analysis
  • Correct -

  • Wrong -

  • Skipped -

My Perfomance
  • Score

    -

    out of -
  • Rank

    -

    out of -
Re-Attempt Weekly Quiz Competition
Self Studies Get latest Exam Updates
& Study Material Alerts!
No, Thanks
Self Studies
Click on Allow to receive notifications
Allow Notification
Self Studies
Self Studies Self Studies
To enable notifications follow this 2 steps:
  • First Click on Secure Icon Self Studies
  • Second click on the toggle icon
Allow Notification
Get latest Exam Updates & FREE Study Material Alerts!
Self Studies ×
Open Now