Self Studies

Quantitative Ap...

TIME LEFT -
  • Question 1
    4 / -1

  • Question 2
    4 / -1

    A vessel contains 2.5 liters of water and 10 liters of milk. 20% of the contents of the vessel are removed. To the remaining contents, x liters of water is added to reverse the ratio of water and milk. Then y liter of milk is added again to reverse the ratio of water and milk. Find y.

  • Question 3
    4 / -1

    Prabhat has done 1/2 of a job in 12 days. Santhosh completes the rest of the job in 6 days. In how many days can they together do the job?

  • Question 4
    4 / -1

    The average of eleven numbers is 56. The average of first three numbers is 52 and that of next five numbers is 60. The 9 th and 10 th number are 3 and 1 more than the 11th number respectively. What is the average of 9 th and 11 th numbers?

  • Question 5
    4 / -1

    Given HCF of (16, 100) = 4, what is the LCM of (16, 100)?

  • Question 6
    4 / -1

    A certain sum at 15% per annum simple interest becomes Rs. 10150 in 3 years. In how many years the principal becomes Rs. 16450 at the same rate of interest?

  • Question 7
    4 / -1

    The ratio of the present ages of Kajal and Ajay is 2 : 1. The ratio of their ages after 30 years will be 7 : 6, what is the present age of Ajay?

  • Question 8
    4 / -1

    Equation of the circle having diameter 8 and diameters y + 2x - 5 = 0 and 2y + 3x - 8 = 0 is?

  • Question 9
    4 / -1

    A person bought two bicycles for Rs. 1600 and sold the first at 10 % profit and the second at 20 % profit. If he sold the first at 20 % profit and the second at 10 % profit, he would get Rs. 5 more. The difference in the cost price of the two bicycles was:

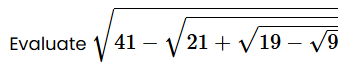
  • Question 10
    4 / -1

Submit Test
Self Studies
User
Question Analysis
  • Answered - 0

  • Unanswered - 10

  • 1
  • 2
  • 3
  • 4
  • 5
  • 6
  • 7
  • 8
  • 9
  • 10
Submit Test
Self Studies Get latest Exam Updates
& Study Material Alerts!
No, Thanks
Self Studies
Click on Allow to receive notifications
Allow Notification
Self Studies
Self Studies Self Studies
To enable notifications follow this 2 steps:
  • First Click on Secure Icon Self Studies
  • Second click on the toggle icon
Allow Notification
Get latest Exam Updates & FREE Study Material Alerts!
Self Studies ×
Open Now