Self Studies

Quantitative Ap...

TIME LEFT -
  • Question 1
    4 / -1

    To dispose of the old stocks, a person sold a tea-set for Rs 3, 540, which was 41% below the cost price. To make a profit of 11%, the seller should have sold the set for ____ more.

  • Question 2
    4 / -1

    The number of books sold by a seller over a year is as follows. In which months did he sell more than the average number of books sold that year?

    Months

    Number of books sold

    January

    2,000

    February

    1,500

    March

    2,500

    April

    3,000

    May

    2,000

    June

    1,000

    July

    1,500

    August

    2,000

    September

    5,000

    October

    2,000

    November

    150

    December

    6,000

  • Question 3
    4 / -1

    A can do a piece of work in 15 days and B in 20 days. If they work on it together for 4 days, then the fraction of the work left is:

  • Question 4
    4 / -1

    The number 3798125P369 is divisible by 7. What is the value of the digit P?

  • Question 5
    4 / -1

    Find the mean of the given data:

    3, 5, 8, 6, 9, 4, 5, 2, 7, 1, 5

  • Question 6
    4 / -1

    Raman takes a loan of Rs. 15000 from a bank for 3 years at 10% rate of simple interest. He lent it to Aman for 3 years at the rate of 14%. What will be his profit (in Rs.)?

  • Question 7
    4 / -1

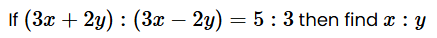
  • Question 8
    4 / -1

    Five letters are sent to different persons and addresses on the five envelopes are written ।at random. The probability that all the letters do not reach the correct destiny is:

  • Question 9
    4 / -1

  • Question 10
    4 / -1

    A person crosses a 455-meter long distance in 35 minutes. What is his speed in km/hr?

Submit Test
Self Studies
User
Question Analysis
  • Answered - 0

  • Unanswered - 10

  • 1
  • 2
  • 3
  • 4
  • 5
  • 6
  • 7
  • 8
  • 9
  • 10
Submit Test
Self Studies Get latest Exam Updates
& Study Material Alerts!
No, Thanks
Self Studies
Click on Allow to receive notifications
Allow Notification
Self Studies
Self Studies Self Studies
To enable notifications follow this 2 steps:
  • First Click on Secure Icon Self Studies
  • Second click on the toggle icon
Allow Notification
Get latest Exam Updates & FREE Study Material Alerts!
Self Studies ×
Open Now