Self Studies

Quantitative Aptitude Test - 6

Result Self Studies

Quantitative Aptitude Test - 6
  • Score

    -

    out of -
  • Rank

    -

    out of -
TIME Taken - -
Self Studies

SHARING IS CARING

If our Website helped you a little, then kindly spread our voice using Social Networks. Spread our word to your readers, friends, teachers, students & all those close ones who deserve to know what you know now.

Self Studies Self Studies
Weekly Quiz Competition
  • Question 1
    4 / -1

    The ratio of the present age of Riti and her father is 6 : 13. After 4 years the age of her father will be double of her age. what was the age of her father at the time of her birth?

    Solution

  • Question 2
    4 / -1

    Mohan purchased a car of Rs. 8000 and sold it after one year at a loss of 25%. Find the selling price of car:

    Solution

  • Question 3
    4 / -1

    Shikha invested a total of Rs. 1500 in two different schemes offering simple interest of 6% and 4% respectively. In two years' time, the scheme offering higher interest rate gives Rs. 100 more interest than the scheme offering the lower rate. What was the ratio of amount invested at higher interest rate to the other amount?

    Solution

    Let the sum invested by Shikha in the Scheme offering a higher interest rate be ‘x’

    So, Sum invested by Shikha in another scheme = (1500-x)

    = 100

    On solving, 

    x = Rs 1100

    Another amount = 1500 – 1100 

    = Rs 400

    Thus, the required ratio = 11 : 4

  • Question 4
    4 / -1

    A can do a piece of work in 15 days while B alone can do it in 20 days. They worked together for 3 days then A left the work. In how many days will B finish the remaining work?

    Solution

  • Question 5
    4 / -1

    A helicopter covers a certain distance at a speed of 180 km/h in 6 hours. To cover the same distance in 10/3 hours, at what speed will it has to travel?

    Solution

    Given:

    The helicopter covers a certain distance at a speed of 180 km/h in 6 hours.

    We know that distance covered = speed × time

    The helicopter covers a certain distance at a speed of 180 km/h in 6 hours.

    Total distance = 180 × 6 = 1080 km

    Now, the helicopter needs to cover the same distance in 10/3 hours.

    ∴ It has to travel at 324 km/hour speed.

  • Question 6
    4 / -1

    In a container the ratio of water and milk is 4 : 5. If the 15 litres of water is taken out and 21 litres of milk is added then the ratio of water and milk changes to 15 : 32. Find the initial quantity (in litres) of water in the container.

    Solution

    Given:

    The ratio of water and milk is 4:5

    The final ratio is 15:32

    Let the initial quantity of water and milk in the vessel be 4x and 5x respectively.

    According to the question,

     

    ∴ Initial quantity of water in the vessel is 60 litres.

  • Question 7
    4 / -1

    The difference between the two numbers is 335. When the larger number is divided by the smaller number, the quotient is 13 and the remainder is 11. What is the larger number?

    Solution

  • Question 8
    4 / -1

    Solution

  • Question 9
    4 / -1

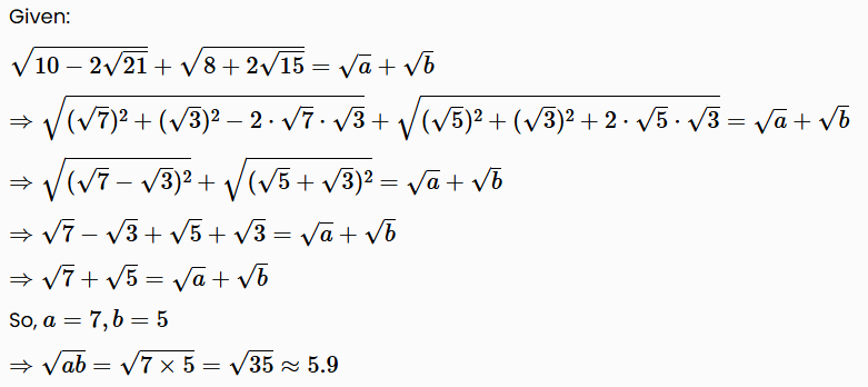
    If  where a and b are positive integers, then the value of  is closest to:

    Solution

  • Question 10
    4 / -1

    Which of the following numbers will completely divide 

    Solution

Self Studies
User
Question Analysis
  • Correct -

  • Wrong -

  • Skipped -

My Perfomance
  • Score

    -

    out of -
  • Rank

    -

    out of -
Re-Attempt Weekly Quiz Competition
Self Studies Get latest Exam Updates
& Study Material Alerts!
No, Thanks
Self Studies
Click on Allow to receive notifications
Allow Notification
Self Studies
Self Studies Self Studies
To enable notifications follow this 2 steps:
  • First Click on Secure Icon Self Studies
  • Second click on the toggle icon
Allow Notification
Get latest Exam Updates & FREE Study Material Alerts!
Self Studies ×
Open Now