Self Studies

Mathematics Test - 10

Result Self Studies

Mathematics Test - 10
  • Score

    -

    out of -
  • Rank

    -

    out of -
TIME Taken - -
Self Studies

SHARING IS CARING

If our Website helped you a little, then kindly spread our voice using Social Networks. Spread our word to your readers, friends, teachers, students & all those close ones who deserve to know what you know now.

Self Studies Self Studies
Weekly Quiz Competition
  • Question 1
    1 / -0

    Consider the following statements regarding the events E, A, B and C .

    (i) Event E can take place due to the occurrence of any of the events A, B, C.

    (ii) Events A, B and C are equiprobable, mutually exclusive and exhaustive.

    (iii) Probability of occurrence of event E is 5/12.

    Solution

  • Question 2
    1 / -0

    There are two balls in an urn whose colours are not known (each ball can be either white or black). A white ball is put into the urn. A ball is drawn from the urn. The probability that it is white is:-

    Solution

  • Question 3
    1 / -0

    From the bottom of pole of height h, the angle of elevation of the top of a tower is α. The pole subtends an angle β at the top of the tower. Then the height of the tower is:

    Solution

  • Question 4
    1 / -0

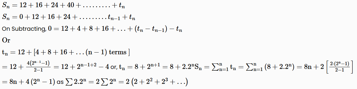
    Sum of n terms of series 12+16+24+10............ will be-

    Solution

  • Question 5
    1 / -0

    The plane passing through the point (−2, −2, 2) and containing the line joining the points (1, 1, 1) and (1, −1, 2) makes intercepts on the coordinates axes the sum of whose lengths is-

    Solution

  • Question 6
    1 / -0

    Solution

    ​​​​​​​

  • Question 7
    1 / -0

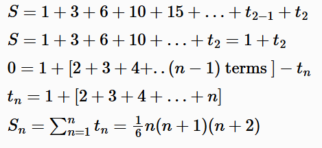
    Sum of the series 

    1 + 3 + 6 + 10 + 15 + ……………………….n terms is-

    Solution

  • Question 8
    1 / -0

    Coordinates of the orthocentre of the triangle whose sides are x = 3, y = 4 and 3x + 4y = 6, will be:

    Solution

  • Question 9
    1 / -0

    Solution

  • Question 10
    1 / -0

    The area bounded by the curves x + 2 |y| = 1 and x = 0 is:

    Solution

Self Studies
User
Question Analysis
  • Correct -

  • Wrong -

  • Skipped -

My Perfomance
  • Score

    -

    out of -
  • Rank

    -

    out of -
Re-Attempt Weekly Quiz Competition
Self Studies Get latest Exam Updates
& Study Material Alerts!
No, Thanks
Self Studies
Click on Allow to receive notifications
Allow Notification
Self Studies
Self Studies Self Studies
To enable notifications follow this 2 steps:
  • First Click on Secure Icon Self Studies
  • Second click on the toggle icon
Allow Notification
Get latest Exam Updates & FREE Study Material Alerts!
Self Studies ×
Open Now