Self Studies

Mathematics Tes...

TIME LEFT -
  • Question 1
    1 / -0

    Find the sum of the series : C0 - 3C1 + 5C+.....+  (-1)n (2n + 1) Cn for n > 1

  • Question 2
    1 / -0

    From a group of persons the number of ways of selecting 5 persons is equal to that of 8 persons. The number of persons in the group is

  • Question 3
    1 / -0

    A (3, 2, 0), B (5, 3, 2) and C (-9, 6, -3) are three points forming a triangle and AD is bisector of the angle BAC. AD meets BC at the point :

  • Question 4
    1 / -0

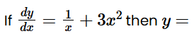
  • Question 5
    1 / -0

    The value of iis :

  • Question 6
    1 / -0

  • Question 7
    1 / -0

    For what value of  'a' is the area bounded by the curve y = ax+ ax + 1 and the straight line y = 0, x = 0 & x = 1 the least ?

  • Question 8
    1 / -0

    How many three-digit numbers can be formed without using the digits 0, 2, 3, 4, 5 and 6 ?

  • Question 9
    1 / -0

    The length of the diameter of the circle which touches the x-axis at the point (1, 0) and passes through the point (2, 3) is

  • Question 10
    1 / -0

    A number when divided by the sum of 555 and 445 gives two times their difference as quotient and 30 as remainder. The number is

Submit Test
Self Studies
User
Question Analysis
  • Answered - 0

  • Unanswered - 10

  • 1
  • 2
  • 3
  • 4
  • 5
  • 6
  • 7
  • 8
  • 9
  • 10
Submit Test
Self Studies Get latest Exam Updates
& Study Material Alerts!
No, Thanks
Self Studies
Click on Allow to receive notifications
Allow Notification
Self Studies
Self Studies Self Studies
To enable notifications follow this 2 steps:
  • First Click on Secure Icon Self Studies
  • Second click on the toggle icon
Allow Notification
Get latest Exam Updates & FREE Study Material Alerts!
Self Studies ×
Open Now