Self Studies

Mathematics Tes...

TIME LEFT -
  • Question 1
    1 / -0

  • Question 2
    1 / -0

    If sin–1x + sin–1y + sin–1z = π/2 then x+ y2 + z2 + 2xyz is equal to -

  • Question 3
    1 / -0

  • Question 4
    1 / -0

    If a. b. c are three unit vectors such that  and b is not parallel to c. then the angle between a and c is

  • Question 5
    1 / -0

  • Question 6
    1 / -0

  • Question 7
    1 / -0

    Suppose a, b, c are in AP and a2, b2, c2 are in GP. If a < b < c & a + b + c = 3/2, then the value of a is-

  • Question 8
    1 / -0

  • Question 9
    1 / -0

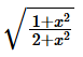
    Find the middle term in the expansion of

  • Question 10
    1 / -0

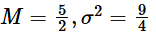
    If ′M′ and σ2 are mean and variance of random variable X, whose distribution is given by -

    then,

Submit Test
Self Studies
User
Question Analysis
  • Answered - 0

  • Unanswered - 10

  • 1
  • 2
  • 3
  • 4
  • 5
  • 6
  • 7
  • 8
  • 9
  • 10
Submit Test
Self Studies Get latest Exam Updates
& Study Material Alerts!
No, Thanks
Self Studies
Click on Allow to receive notifications
Allow Notification
Self Studies
Self Studies Self Studies
To enable notifications follow this 2 steps:
  • First Click on Secure Icon Self Studies
  • Second click on the toggle icon
Allow Notification
Get latest Exam Updates & FREE Study Material Alerts!
Self Studies ×
Open Now