Self Studies

Mathematics Test - 6

Result Self Studies

Mathematics Test - 6
  • Score

    -

    out of -
  • Rank

    -

    out of -
TIME Taken - -
Self Studies

SHARING IS CARING

If our Website helped you a little, then kindly spread our voice using Social Networks. Spread our word to your readers, friends, teachers, students & all those close ones who deserve to know what you know now.

Self Studies Self Studies
Weekly Quiz Competition
  • Question 1
    1 / -0

    Solution

  • Question 2
    1 / -0

    Sum of n terms of series 12 + 16 + 24 + 40 + .... will be

    Solution

  • Question 3
    1 / -0

    The equation  represents the equation of a circle with ω, ω2 as extremities of a diameter, then λ, is. (where ω, ω2 are cube roots of unity)

    Solution

  • Question 4
    1 / -0

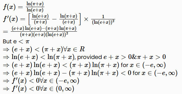
    Solution

  • Question 5
    1 / -0

    From the bottom of pole of height h, the angle of elevation of the top of a tower is α. The pole subtends an angle β at the top of the tower. Then the height of the tower is:

    Solution

  • Question 6
    1 / -0

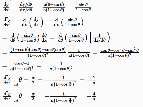
    Solution

  • Question 7
    1 / -0

    The area bounded by the curves x + 2|y| = 1 and x = 0 is:

    Solution

  • Question 8
    1 / -0

    If b2 ≥ 4 ac for the equation ax4 + bx2 + c = 0, then all the roots of the equation will be real if-

    Solution

  • Question 9
    1 / -0

    Solution

  • Question 10
    1 / -0

    Solution

Self Studies
User
Question Analysis
  • Correct -

  • Wrong -

  • Skipped -

My Perfomance
  • Score

    -

    out of -
  • Rank

    -

    out of -
Re-Attempt Weekly Quiz Competition
Self Studies Get latest Exam Updates
& Study Material Alerts!
No, Thanks
Self Studies
Click on Allow to receive notifications
Allow Notification
Self Studies
Self Studies Self Studies
To enable notifications follow this 2 steps:
  • First Click on Secure Icon Self Studies
  • Second click on the toggle icon
Allow Notification
Get latest Exam Updates & FREE Study Material Alerts!
Self Studies ×
Open Now