Self Studies

Mathematics Tes...

TIME LEFT -
  • Question 1
    1 / -0

  • Question 2
    1 / -0

    The equation of the common tangent touching the circle (x-3)2 + y2 = 9 and the parabola y2 = 4x above the x-axis, is

  • Question 3
    1 / -0

  • Question 4
    1 / -0

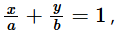
    If for a variable line  the condition a–2 + b–2 = c–2 (c is a constant), is satisfied, then the locus of foot of the perpendicular drawn from origin to this is:

  • Question 5
    1 / -0

    If A and B are two square matrices such that B = –A–1 BA, then (A+B)2 is equal to-

  • Question 6
    1 / -0

    a, b, c are positive numbers and abc2 has the greatest value 1/64 Then

  • Question 7
    1 / -0

    The altitude of a cone is 20cm and its semi-vertical angle is 30°. If the semi-vertical angle is increasing at the rate of 2° per second, then the radius of the base is increasing at the rate of-

  • Question 8
    1 / -0

  • Question 9
    1 / -0

    The value of K, for which the equation (K–2)x2 + 8x + K + 4 = 0 has both the roots real distinct and negative is:

  • Question 10
    1 / -0

    The area bounded by curves y = f(x), the x-axis and the ordinates x = 1 and x = b is (b - 1) sin (3b + 4). Then f(x) is-

Submit Test
Self Studies
User
Question Analysis
  • Answered - 0

  • Unanswered - 10

  • 1
  • 2
  • 3
  • 4
  • 5
  • 6
  • 7
  • 8
  • 9
  • 10
Submit Test
Self Studies Get latest Exam Updates
& Study Material Alerts!
No, Thanks
Self Studies
Click on Allow to receive notifications
Allow Notification
Self Studies
Self Studies Self Studies
To enable notifications follow this 2 steps:
  • First Click on Secure Icon Self Studies
  • Second click on the toggle icon
Allow Notification
Get latest Exam Updates & FREE Study Material Alerts!
Self Studies ×
Open Now