Self Studies

Mathematics Tes...

TIME LEFT -
  • Question 1
    1 / -0

    From a group of 7 men and 6 women, five persons are to be selected to form a committee so that at least 3 men are there on the committee. In how many ways can it be done?

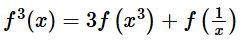
  • Question 2
    1 / -0

  • Question 3
    1 / -0

    The circles which can be drawn to pass through (1,0) & (3,0) and touching the y-axis, intersect at an angle θ. The value of cos θ is equal to

  • Question 4
    1 / -0

    Let f(x) be a continuous function such that f(a – x) + f(x) = 0 for all x[0,a]. Then, the value of the integral  is equal to

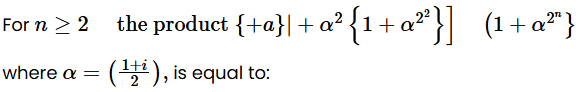
  • Question 5
    1 / -0

  • Question 6
    1 / -0

    The coefficient of the term independent of x in the expansion of 

  • Question 7
    1 / -0

    Which of the following statements is not correct?

  • Question 8
    1 / -0

    A tangent having slope of  intersects the major and minor axes in points A and B respectively. If C is the center of the ellipse then the area of the triangle ABC is:

  • Question 9
    1 / -0

    The set of all values of the parameter a for which the points of minimum of the function y = 1 + a2 x – x3

  • Question 10
    1 / -0

    The eccentricity of the hyperbola whose latus rectum is half of its transverse axis, is:

Submit Test
Self Studies
User
Question Analysis
  • Answered - 0

  • Unanswered - 10

  • 1
  • 2
  • 3
  • 4
  • 5
  • 6
  • 7
  • 8
  • 9
  • 10
Submit Test
Self Studies Get latest Exam Updates
& Study Material Alerts!
No, Thanks
Self Studies
Click on Allow to receive notifications
Allow Notification
Self Studies
Self Studies Self Studies
To enable notifications follow this 2 steps:
  • First Click on Secure Icon Self Studies
  • Second click on the toggle icon
Allow Notification
Get latest Exam Updates & FREE Study Material Alerts!
Self Studies ×
Open Now