Self Studies

Mathematics Test - 9

Result Self Studies

Mathematics Test - 9
  • Score

    -

    out of -
  • Rank

    -

    out of -
TIME Taken - -
Self Studies

SHARING IS CARING

If our Website helped you a little, then kindly spread our voice using Social Networks. Spread our word to your readers, friends, teachers, students & all those close ones who deserve to know what you know now.

Self Studies Self Studies
Weekly Quiz Competition
  • Question 1
    1 / -0

    The number of ways in which a mixed double game can be arranged from amongst 9 married couples if no husband and wife play in the same game is-

    Solution

    1. We can choose two men out of 9 in 9C2 ways. Since no husband and wife are to play in the same game, two women out of the remaining 7 can be chosen in 72 two women out of the remaining 7 can be chosen in 7C2 ways. If M1, M2, W1 & W2 are chosen, then a team may consist of M1 and W1 or M1and W2. Thus, the number of ways of arranging the game is

  • Question 2
    1 / -0

    In a triangle ABC, the angle B is greater than angle A . If the values of the angle A and B satisfy the equation

    Solution

  • Question 3
    1 / -0

    Solution

  • Question 4
    1 / -0

    The projection of the line joining the points (3,4,5) and (4,6,3) on the line joining the points (-1,2,4) and (1,0,5) is

    Solution

  • Question 5
    1 / -0

    In an experiment with 15 observations on X, the following results where available:  One observation that was 20 was found to be wrong and was replaced by the correct value 30. The corrected variance is-

    Solution

  • Question 6
    1 / -0

    Solution

    We are given that z is paralilel to the plane containing arax i The plane containing vectors a and b can be

  • Question 7
    1 / -0

    The solution of the equation (2x + y + 1) dx + (4x + 2y – 1) dy = 0 is-

    Solution

  • Question 8
    1 / -0

    All the values of x satisfying the equation  are given by-

    Solution

    If any two columns of the determinant is identical, then the determinant is always zero.

    Thus, all real values of x are possible.

  • Question 9
    1 / -0

    If sin 5x + sin 3 x + sin x = 0, then the value of x other than zero, lying between 0 is-

    Solution

  • Question 10
    1 / -0

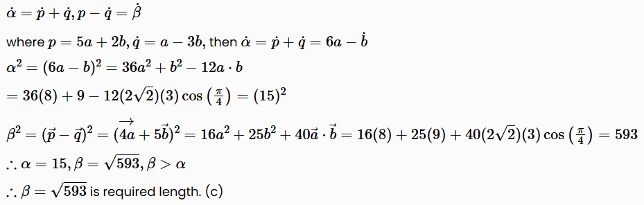
    The length of the longer diagonal of the parallelogram constructed on  and angle between a  is:

    Solution

Self Studies
User
Question Analysis
  • Correct -

  • Wrong -

  • Skipped -

My Perfomance
  • Score

    -

    out of -
  • Rank

    -

    out of -
Re-Attempt Weekly Quiz Competition
Self Studies Get latest Exam Updates
& Study Material Alerts!
No, Thanks
Self Studies
Click on Allow to receive notifications
Allow Notification
Self Studies
Self Studies Self Studies
To enable notifications follow this 2 steps:
  • First Click on Secure Icon Self Studies
  • Second click on the toggle icon
Allow Notification
Get latest Exam Updates & FREE Study Material Alerts!
Self Studies ×
Open Now