Self Studies

NEET Test 192

Result Self Studies

NEET Test 192
  • Score

    -

    out of -
  • Rank

    -

    out of -
TIME Taken - -
Self Studies
Weekly Quiz Competition
  • Question 1
    4 / -1

    At 30C, the half life for the decomposition of AB2 is 200 s and is independent of the initial concentration of AB2. The time required for 80% of the AB2 to decompose is Given:

    log⁡2 = 0.30 log⁡3 = 0.48

    Solution

    Since, half-life is independent of the initial concentration of AB2. Hence, the reaction is "First Order".

     

  • Question 2
    4 / -1

    Two rods having thermal conductivity in the ratio of 5: 3 and having an equal length and equal cross-section are joined face to face. If the temperature of free-end of the first rod is 100C and the free end of the second rod is 20C, then calculate the temperature of junction:

    Solution

     

  • Question 3
    4 / -1

    A series resonance network consisting of a resistor of 30Ω, a capacitor of 2uF and an inductor of 20mH is connected across a sinusoidal supply voltage which has a constant output of 9 volts at all frequencies. Calculate, the resonant frequency, the current at resonance.

    Solution

     

  • Question 4
    4 / -1

    Which of the following is a sexually transmitted disease caused by ectoparasite?

    Solution

    Scabies usually is spread by direct, prolonged, skin-to-skin contact with a person who has scabies. Contact generally must be prolonged; a quick handshake or hug usually will not spread scabies. Scabies is spread easily to sexual partners and household members. Scabies in adults frequently is sexually acquired.

     

  • Question 5
    4 / -1

    A boxer moves his head backward while he receives a punch to the head. This is done to:

    Solution

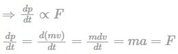
    Linear momentum:

    Linear momentum is the impact caused due to a body in translational motion.

    The greater the mass and velocity of the moving body the more will be the impact and thus greater the momentum.

    The linear momentum of a moving object is defined as:

    p = mv

    ​Where,

    p is the linear momentum, m is the mass of the object, and v is the velocity of the object.

    According to Newton's second law of motion, the rate of change of momentum is directly proportional to the force applied by the moving body.

    Explanation:

    • The boxer experiences momentum due to the punch on the head.
    • On moving the head backward, he increases the time of contact.

    increasing the time of contact for the same momentum decreases the force acting on his head.

    • This will help in reducing the force acting on his head and helps avoid injury or getting hurt.

     

  • Question 6
    4 / -1

    In the following reaction

    Which two substances are Bronsted base?

    Solution

     

  • Question 7
    4 / -1

    Tropical rain forests once covered more than ___ a ___ percent of the Earth surface, now covers not more than ___ b ___ percent:

    Solution

    The region near the middle of the Earth between the Tropic of Cancer and Tropic of Capricon is considered as the Tropic region. This region receives the most amount of solar energy which leads to better productivity and higher species diversity Also, the seasonal variations in such regions are low and environment mainly remains the same supporting high species richness and promoting niche specialization. Tropical rain forests used to cover more than 14 percent of the Earth's surface. Now due to human activities S, uman activities leading to destruction of habitat and pushing many species to the brink of extinction has tropical rainforests cover no more than 6 percent.

     

  • Question 8
    4 / -1

    Guttation differs from transpiration in which aspect?

    Solution

    The action of plants to remove unnecessary water from the body in the form of vapour is called transpiration. Only a small fraction of the water that the plants absorb from the soil is used in the plant body. The process of exudation of liquid drops from the edges of leaves is called guttation. In other words, the process of the escape of liquid from the tip of the uninjured leaf is called guttation.

     

  • Question 9
    4 / -1

    The correct order of basicity of the following compounds is:

    Solution

    We know that, 

    (i) Donation capacity of nitrogen increases if electron donating group(s) (+I or +R-effect containing) is/are attached with it.

    (ii) More nitrogen atoms (or donor atoms) means more basicity (in general).

    (iii) sp2-hybridized nitrogen is less capable of donating lone pair than sp3-hybridized.

    From the second point, we know that 4>3 and both will be greater than 1 and 2. Out of 1 and 2, 1 has an sp3 hybridized N which is bonded to electron releasing methyl group and therefore is more basic than 2.

     

  • Question 10
    4 / -1

    A circular coil of radius R carries a current i. The magnetic field at its center is B. The distance from the center on the axis of the coil where the magnetic field will be  is:

    Solution

     

Self Studies
User
Question Analysis
  • Correct -

  • Wrong -

  • Skipped -

My Perfomance
  • Score

    -

    out of -
  • Rank

    -

    out of -
Re-Attempt Weekly Quiz Competition
Self Studies Get latest Exam Updates
& Study Material Alerts!
No, Thanks
Self Studies
Click on Allow to receive notifications
Allow Notification
Self Studies
Self Studies Self Studies
To enable notifications follow this 2 steps:
  • First Click on Secure Icon Self Studies
  • Second click on the toggle icon
Allow Notification
Get latest Exam Updates & FREE Study Material Alerts!
Self Studies ×
Open Now