Self Studies

NEET Test 194

Result Self Studies

NEET Test 194
  • Score

    -

    out of -
  • Rank

    -

    out of -
TIME Taken - -
Self Studies
Weekly Quiz Competition
  • Question 1
    4 / -1

    To detect the reducing and non reducing sugars, which of the following test is used?

    Solution

    (A) Molisch's test is a chemical test which is used to check for the presence of carbohydrates in a given analyte.

    (B) The biuret test, also known as Piotrowski's test, is a chemical test used for detecting the presence of peptide bonds. In the presence of peptides, a copper (II) ion forms mauve-colored coordination complexes in an alkaline solution.

    (C) Fehling’s test is used for reducing sugars and non-reducing sugars, supplementary to the Tollens’ reagent test. The test was developed by German chemist Hermann von Fehling in 1849.

    (D) Millon's reagent is an analytical reagent used to detect the presence of soluble proteins.

     

  • Question 2
    4 / -1

    The graph shows the dependence of velocity on time for a body that is restricted to move in one dimension, along the x-axis. At t = 0, the body is at rest at x = 0.

    At t = 60 sec, the body is located at

    Solution

    From the graph, as it seems the body at t = 60 sec, the body is located at x = 0 m. The body first constantly increases its velocity and then decreases it. Therefore, clearly, the answer will be 0.

     

  • Question 3
    4 / -1

    A freshly prepared radioactive source of half-life 2 hours emits radiation of intensity which is 64 times the permissible safe level. The minimum time after which it would be possible to work safely with this source is:

    Solution

     

  • Question 4
    4 / -1

    During an adiabatic process, the pressure of a gas is proportional to the cube of its absolute temperature. The value of  for that gas is

    Solution

     

  • Question 5
    4 / -1

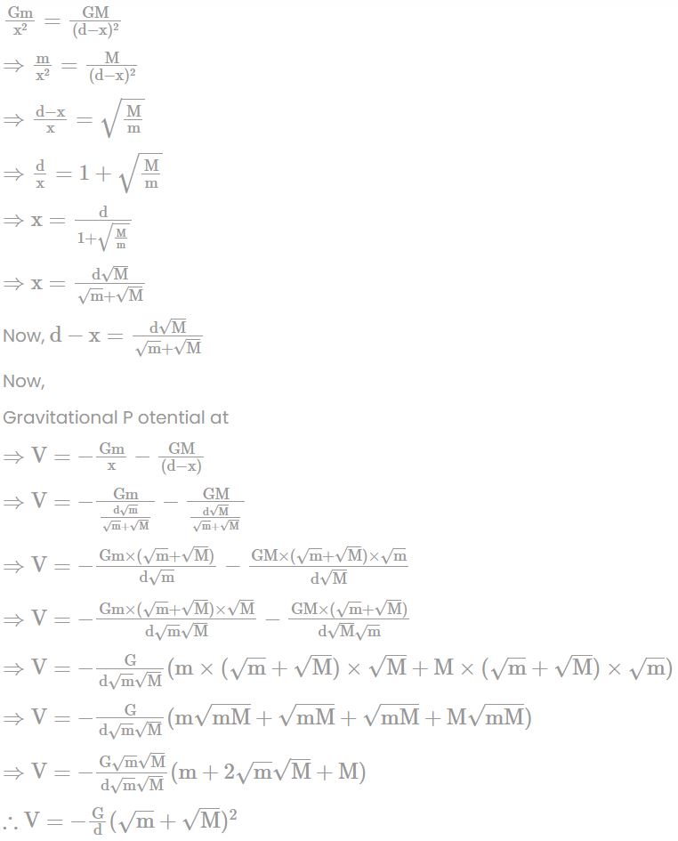
    Two bodies of masses m and M are placed at distance d apart. What is the gravitational potential (V) at the position where the gravitational field due to the zero is:

    Solution

    If net gravitational field of p become zero means:

     

  • Question 6
    4 / -1

    Solution

    Epoxypropane reacts with CH3MgBr to give butan-2-ol as follows:

     

  • Question 7
    4 / -1

    Which of the following characteristics is correct for epithelial tissues?

    Solution

    Epithelial tissues are the major tissue in glands and form the outer covering or layer of all body surfaces and organs. It consists of closely aggregated cells that adhere firmly to each other and forming either single or multiple layers. Due to the cells being tightly packed there is the very little intercellular matrix. The intercellular matrix consists of protein and is on the cell membrane of epithelial cells.

     

  • Question 8
    4 / -1

    Which statement regarding coenzyme is incorrect?

    Solution

    Every coenzyme is a cofactor but every cofactor is not coenzyme. Cofactors can be classified depending on how tightly they bind to an enzyme, with loosely bound cofactors termed coenzymes and tightly bound cofactors termed prosthetic groups.

     

  • Question 9
    4 / -1

    Which of the following is not a fat soluble vitamin?

    Solution

    Fat-soluble vitamins are those which are soluble in organic solvents and are absorbed along with fats in our diet and it can be stored in our body’s fatty tissue.  Vitamin A, D, E are fat-soluble and vitamin B is water-soluble.

     

  • Question 10
    4 / -1

    The figure below shows a network of eight resistors numbered 1 to 8 each equal to 2Ω, connected to a 3V battery of negligible internal resistance. The current I in the circuit is:

    Solution

    Due to the wheatstone bridge principle, no current will pass through BE and CF.

     

Self Studies
User
Question Analysis
  • Correct -

  • Wrong -

  • Skipped -

My Perfomance
  • Score

    -

    out of -
  • Rank

    -

    out of -
Re-Attempt Weekly Quiz Competition
Self Studies Get latest Exam Updates
& Study Material Alerts!
No, Thanks
Self Studies
Click on Allow to receive notifications
Allow Notification
Self Studies
Self Studies Self Studies
To enable notifications follow this 2 steps:
  • First Click on Secure Icon Self Studies
  • Second click on the toggle icon
Allow Notification
Get latest Exam Updates & FREE Study Material Alerts!
Self Studies ×
Open Now