Self Studies

Physics Test 191

Result Self Studies

Physics Test 191
  • Score

    -

    out of -
  • Rank

    -

    out of -
TIME Taken - -
Self Studies

SHARING IS CARING

If our Website helped you a little, then kindly spread our voice using Social Networks. Spread our word to your readers, friends, teachers, students & all those close ones who deserve to know what you know now.

Self Studies Self Studies
Weekly Quiz Competition
  • Question 1
    4 / -1

    The coefficients of linear expansion of brass and steel rods are α1 and α2, lengths of brass and steel rods are l1 and l2 respectively. If (l2 - l1) is maintained the same at all temperatures, Which one of the following relations holds good?

    Solution

    According to question,

    Coefficient of linear expansion of brass = α1

    Coefficient of linear expansion of steel = α2

    Length of brass and steel rods are l1 and l2 respectively.

    As given difference in length (l2 − l1) is same for all temperature.

    So, l2' - l1' = l2 - l1

    ⇒ l2 (1 + α2 Δt) − l1(1 + α1 Δt) = l2 − l1

    ⇒ l2 α2 = l1 α,

     

  • Question 2
    4 / -1

    A copper rod of 88 cm and an aluminium rod of an unknown length have an equal increase in their lengths independent of an increase in temperature. The length of the aluminium rod is : (αCu = 1.7 × 10-5K-1 and αAl = 2.2 × 10−5 K−1)

    Solution

     

  • Question 3
    4 / -1

    A pendulum clock runs faster by 5 seconds per day at 20oC and goes slow by 10 seconds per day at 35oC. It shows the correct time at a temperature of:

    Solution

     

  • Question 4
    4 / -1

    A bimetallic strip is shown in the figure. On cooling, which shape will it attain if αbrass > α steel :

    Solution

    Step 1: Find the change in length of the strips..

    l = l0 [1 + α Δ T]

    Step 2: Find the correct relation.

    On cooling,

    lbrass < lsteel.

     

  • Question 5
    4 / -1

    The diagram shows a bimetallic strip used as a thermostat in a circuit. Copper expands more than Invar for the same temperature rise.

    What will be switched on when the bimetallic strip becomes hot?

    Solution

    Upon heating copper and invar expands. The coefficient of thermal expansion for copper is greater than that of invar. So the given metal bends in such a way that the copper strip bends outwards and the invar strip bends inwards. Then the circuit containing the lamp and bell gets closed and they start working. But the motor will not be switched on.

     

  • Question 6
    4 / -1

    The cylindrical tube of a spray pump has radius R, one end of which has n fine holes, each of radius r. If the speed of the liquid in the tube is V, the speed of the ejection of the liquid through the holes is

    Solution

    Let the speed of the ejection of the liquid through the holes be v. Then according to the equation of continuity,

     

  • Question 7
    4 / -1

    The value of coefficient of volume expansion of glycerin is 5 × 104K−1. The fractional change in the density of glycerin for a rise of 40°C in its temperature, is

    Solution

     

  • Question 8
    4 / -1

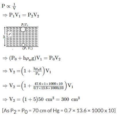
    An inverted bell lying at the bottom of a lake 47.6 m deep has 50 cm3 of air trapped in it. The bell is brought to the surface of the lake. The volume of the trapped air will be: (atmospheric pressure = 70 cm of Hg and density of Hg = 13.6 g/cm3)

    Solution

    According to Boyle's law, pressure and volume are inversely proportional to each other i.e,

     

  • Question 9
    4 / -1

    A U tube is partially filled with water. Oil which is immiscible in water is poured into one side until the water rises by 25 cm on the other side. If the oil level is 12.5 cm higher than the water level, then the relative density of the oil is:

    Solution

     

  • Question 10
    4 / -1

    A barometer kept in a stationary elevator reads 76 cm. If the elevator starts accelerating up, the reading will be:

    Solution

    If lift moves upwards with some acceleration, then effective g increases. So the value of h decreases i.e. reading will be less than 76 cm.

     

Self Studies
User
Question Analysis
  • Correct -

  • Wrong -

  • Skipped -

My Perfomance
  • Score

    -

    out of -
  • Rank

    -

    out of -
Re-Attempt Weekly Quiz Competition
Self Studies Get latest Exam Updates
& Study Material Alerts!
No, Thanks
Self Studies
Click on Allow to receive notifications
Allow Notification
Self Studies
Self Studies Self Studies
To enable notifications follow this 2 steps:
  • First Click on Secure Icon Self Studies
  • Second click on the toggle icon
Allow Notification
Get latest Exam Updates & FREE Study Material Alerts!
Self Studies ×
Open Now