Self Studies

Physics Test 19...

TIME LEFT -
  • Question 1
    4 / -1

    The angle between the electric lines of force and the equipotential surface is

  • Question 2
    4 / -1

    Two point charges −q and +q are placed at a distance of L, as shown in the figure.

    The magnitude of electric field intensity at a distance R(R≫L) varies as:

  • Question 3
    4 / -1

    The distance between the two plates of a parallel plate capacitor is doubled and the area of each plate is halved. If C is its initial capacitance, its final capacitance is equal to:

  • Question 4
    4 / -1

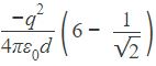
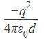
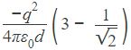
    Six charges +q, −q, +q, −q, +q and − q are fixed at the corners of a hexagon of side d as shown in the figure. The work done in bringing a charge q0 to the centre of the hexagon from infinity is: (ε0. - permittivity of free space )

  • Question 5
    4 / -1

    The equivalent capacitance of the combination shown in the figure is

  • Question 6
    4 / -1

    Twenty seven drops of same size are charged at 220 V each. They combine to form a bigger drop.

    Calculate the potential of the bigger drop.

  • Question 7
    4 / -1

    In a certain region of space with volume 0.2 m3, the electric potential is found to be 5V throughout. The magnitude of electric field in this region is:

  • Question 8
    4 / -1

    The capacitance of a parallel plate capacitor with air as medium is 6µF. With the introduction of a dielectric medium, the capacitance becomes 30µF. The permittivity of the medium is:

    (E0 = 8.85 × 10−12C2N−1m−2)

  • Question 9
    4 / -1

    Two point charges A and B, having charges +Q and −Q respectively, are placed at certain distance apart and force acting between them is F. If 25% charge of A is transferred to B, then force between the charges becomes

  • Question 10
    4 / -1

    An electron falls from rest through a vertical distance h in a uniform and vertically upward directed electric field E. The direction of electric field is now reversed, keeping its magnitude the same. A proton is allowed to fall from rest in it through the same vertical distance h. The time of fall of the electron, in comparison to the time of fall of the proton is

Submit Test
Self Studies
User
Question Analysis
  • Answered - 0

  • Unanswered - 10

  • 1
  • 2
  • 3
  • 4
  • 5
  • 6
  • 7
  • 8
  • 9
  • 10
Submit Test
Self Studies Get latest Exam Updates
& Study Material Alerts!
No, Thanks
Self Studies
Click on Allow to receive notifications
Allow Notification
Self Studies
Self Studies Self Studies
To enable notifications follow this 2 steps:
  • First Click on Secure Icon Self Studies
  • Second click on the toggle icon
Allow Notification
Get latest Exam Updates & FREE Study Material Alerts!
Self Studies ×
Open Now