Self Studies

Physics Test 199

Result Self Studies

Physics Test 199
  • Score

    -

    out of -
  • Rank

    -

    out of -
TIME Taken - -
Self Studies
Weekly Quiz Competition
  • Question 1
    4 / -1

    A current loop in a magnetic field

    Solution

     

  • Question 2
    4 / -1

    A compass needle which is allowed to move in a horizontal plane is taken to a geomagnetic pole. It

    Solution

    A compass needle which is allowed to move in a horizontal plane is taken to a geomagnetic pole. It will stay in any position as the horizontal component of earth’s magnetic field becomes zero at the geomagnetic pole.

     

  • Question 3
    4 / -1

    A bar magnet of magnetic moment M is placed at right angles to a magnetic induction B. If a force F is experienced by each pole of the magnet, the length of the magnet will be

    Solution

     

  • Question 4
    4 / -1

    Electromagnets are made of soft iron because soft iron has

    Solution

    Electromagnets are made of soft iron because soft iron has low retentivity and low coercive force or low coercivity. Soft iron is a soft magnetic material.

     

  • Question 5
    4 / -1

    A short bar magnet of magnetic moment 0.4JT−1 is placed in a uniform magnetic field of 0.16 T. The magnet is in stable equilibrium when the potential energy is

    Solution

     

  • Question 6
    4 / -1

    A battery of internal resistance 2 Ω is connected to a variable resistor whose value can vary from 4 Ω to 10 Ω .The resistance is initially set at 4 Ω. If the resistance is now increased then

    Solution

    Power maximum when r = R. So, the power consumed by it will decrease when we increase the load resistance for R > rR > r.

     

  • Question 7
    4 / -1

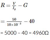
    The maximum current that can be measured by a galvanometer of resistance 40 Ω is 10 mA. It is converted into a voltmeter that can read upto 50 V. The resistance to be connected is series with the galvanometer (in ohm) is

    Solution

    To convert galvanometer into voltmeter, the necessary value of resistance to be connected in series with the galvanometer is

     

  • Question 8
    4 / -1

    Two identical bar magnets are fixed with their centres a ta distance d apart. A stationary charge Q is placed at P in between the gap of the two magnets at a distance D from the centre O as shown in the figure

    Solution

    Magnetic field due to bar magnets exerts force on moving charges only. Since the charge is at rest, zero force acts on it.

     

  • Question 9
    4 / -1

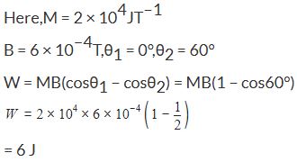
    A bar magnet having a magnetic moment of 2×104JT−1 is free to rotate in a horizontal plane. A horizontal magnetic field B = 6×10−4T exists in the space. The work done in taking the magnet slowly from a direction parallel to the field to a direction 60° from the field is

    Solution

     

  • Question 10
    4 / -1

    Nickel shows ferromagnetic property at room temperature. If the temperature is increased beyond Curie temperature, then it will show

    Solution

    Above Curie temperature, ferromagnetic material become paramagnetic.

     

Self Studies
User
Question Analysis
  • Correct -

  • Wrong -

  • Skipped -

My Perfomance
  • Score

    -

    out of -
  • Rank

    -

    out of -
Re-Attempt Weekly Quiz Competition
Self Studies Get latest Exam Updates
& Study Material Alerts!
No, Thanks
Self Studies
Click on Allow to receive notifications
Allow Notification
Self Studies
Self Studies Self Studies
To enable notifications follow this 2 steps:
  • First Click on Secure Icon Self Studies
  • Second click on the toggle icon
Allow Notification
Get latest Exam Updates & FREE Study Material Alerts!
Self Studies ×
Open Now